阿摩線上測驗
登入
首頁
>
研究所、轉學考(插大)-微積分
>
103年 - 103 國立暨南國際大學_轉學生入學考試試題_資工系二、土木系二、應化系二、電機系二、應光系二:微積分#123440
> 申論題
申論題
試卷:103年 - 103 國立暨南國際大學_轉學生入學考試試題_資工系二、土木系二、應化系二、電機系二、應光系二:微積分#123440
科目:研究所、轉學考(插大)-微積分
年份:103年
排序:0
申論題資訊
試卷:
103年 - 103 國立暨南國際大學_轉學生入學考試試題_資工系二、土木系二、應化系二、電機系二、應光系二:微積分#123440
科目:
研究所、轉學考(插大)-微積分
年份:
103年
排序:
0
題組內容
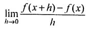
1. (15%) Definition A: A function f is said to be differential at x iff
exists. If this limit exists, it is called the derivative of f at x, and is denoted by f '(x). Let f(x) =
.
申論題內容
(a) (5%) Sketch the graph of the function f(x).