所屬科目:研究所、轉學考(插大)-微積分
1. If f(x)=x2+x for (2) = __(la) (1%)__ and f(f-1(I)) =__(1b) (1%)__
3.Ifs(x)=x3+=__(3) (4%)__.
4.=__(4)(2%)__
5. = __(5) (3%)__
8.if f(x)=dt,find f'(x). (5%)
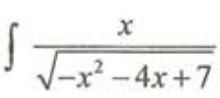
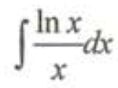
9. Evaluate dx (5%)
10. Find to the 1-st decimal place by the Newton's method with an initial guess of x0 =4. (5%)
14. Find the Maclaurin series of the function and its radius of convergence. (10%)
15. Evaluate the integral for by making an appropriate change of variables, where R is given by the inequality |xl+ly |≤1.(10%)