阿摩線上測驗
登入
首頁
>
研究所、轉學考(插大)-微積分
>
103年 - 103 國立臺北大學_學士班暨進修學士班轉學生招生考試試題_資訊工程學士、通訊工程學系學士班二年級:微積分#119732
> 申論題
申論題
試卷:103年 - 103 國立臺北大學_學士班暨進修學士班轉學生招生考試試題_資訊工程學士、通訊工程學系學士班二年級:微積分#119732
科目:研究所、轉學考(插大)-微積分
年份:103年
排序:0
申論題資訊
試卷:
103年 - 103 國立臺北大學_學士班暨進修學士班轉學生招生考試試題_資訊工程學士、通訊工程學系學士班二年級:微積分#119732
科目:
研究所、轉學考(插大)-微積分
年份:
103年
排序:
0
題組內容
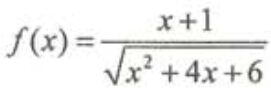
6. Analyze the function
and please find its
申論題內容
(d) horizontal or/and vertical asymptotes are __(6d) (2%)__