所屬科目:研究所、轉學考(插大)-微積分
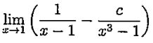
1. Find the value of c such that the limit exists and evaluate the limit.
2. Find the extreme values of f(x) = for x > 0.
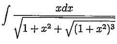
3. Evaluate the indefnite integral.
5. Find the sum of the series or show that it diverges.
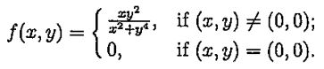
(b) Show that the directional derivative of the following func- tion exists in every direction u = (u, v) at (0,0), where
7. Use the transformation z = u/v, y = v to evaluate the double integralwhere R is the region in the first quadrant(象限) bounded by the lines y = x, y = 3x, and the hyperbolas xy = 1, xy = 3.