所屬科目:研究所、轉學考(插大)-微積分
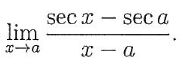
1. Find the limit (10 points)
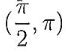
2. Find the equation of the tangent line to the graph of the equation x sin y = y cos x at the point. (10 points)
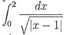
(1) (7 points)
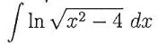
(2) (7 points)
(3) (8 points)
(4) (8 points)
6. Integrate f(x, y, z) =over the involute curve x = cos t + t sin t, y = sin t - t cos t, z = 0, 0 ≤ t ≤ . (15 points)
(2) Use the Mean Value Theory to prove that. (10 points)