所屬科目:研究所、轉學考(插大)-微積分
1. = __(1)__
2. dx =__(2)__.
3. (1 + sin4x)cotx =__ (3)__.
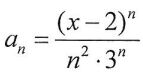
4. Let,Then the radius of convergence of =__(4)__.
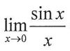
5. =__(5)__.
6. Let θ be the angle between the plane x + y + z = 1 and x - 2y + 3z = 1, Thenθ= __(6)__.
7. ln x dx =__ (7)__.
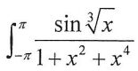
8. dx =__ (8)__.
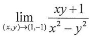
9. dxdy =__ (9)__.
10. Let A be the area of surface obtained by revolving the graph of f(x) = on the interval [0, 2] about the x-axis. Then A =__ (10)__.
11.21xy2 dzdydx =__ (11)__.
(a) = ? Is f continuous at x = 0? (5 分)
(b) Find the volume of the ellipsoid = 1by using the transformation x = au, y = bv, z = cw. (10 分)