阿摩線上測驗
登入
首頁
>
研究所、轉學考(插大)-微積分
>
103年 - 103 國立臺灣師範大學_學士班轉學生招生考試試題_物理系二年級:微積分#121948
> 申論題
申論題
試卷:103年 - 103 國立臺灣師範大學_學士班轉學生招生考試試題_物理系二年級:微積分#121948
科目:研究所、轉學考(插大)-微積分
年份:103年
排序:0
申論題資訊
試卷:
103年 - 103 國立臺灣師範大學_學士班轉學生招生考試試題_物理系二年級:微積分#121948
科目:
研究所、轉學考(插大)-微積分
年份:
103年
排序:
0
題組內容
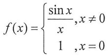
1. Let
申論題內容
(c) Sketch the graph of f(x). (5 分)