所屬科目:研究所、轉學考(插大)-微積分
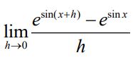
(a)
(b)
2. (10%) Prove that f(x)=x|x| is differentiable at x=0 .
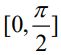
7. (10%) Find the area of the region R under the graph of y= x cosx on ,
8. (10%) Find the parametric equations of the tangent line to the helix: x=cos(2t), y =sin(2t) , z= tat the point where t= π/6
(b) Use dz to approximate the change △z in z as (x, y) from P(1,1) to Q(0.99,1.02)