阿摩線上測驗
登入
首頁
>
研究所、轉學考(插大)-微積分
>
103年 - 103 東吳大學轉學生招生考試試題_數學系二年級:微積分#115940
> 申論題
題組內容
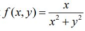
9. (10%). Let
.
(a) Find the total differential dz .
相關申論題
(a)
#495383
(b)
#495384
2. (10%) Prove that f(x)=x|x| is differentiable at x=0 .
#495385
3. (10%) Find the equation of the tangent line to the curve x2/5+y2/5= 2 at the point (1, -1) .
#495386
(a)f(x) =sin3(4x)
#495387
(b)
#495388
(a)
#495389
(b)
#495390
(a)
#495391
(b)
#495392
相關試卷
114年 - 114 臺灣綜合大學系統_學士班轉學生考試試題:微積分A#137897
114年 · #137897
114年 - 114 臺灣綜合大學系統_學士班轉學生考試試題:微積分B#137819
114年 · #137819
114年 - 114 台灣聯合大學系統_學士班轉學生考試試題:微積分#137762
114年 · #137762
114年 - 114 台灣聯合大學系統_學士班轉學生考試試題:微積分#137761
114年 · #137761
114年 - 114 國立臺灣大學_轉學生招生考試_物理學系/土木工程學系/生物環境系統工程學系/生物機電工程學系:微積分(B)#137745
114年 · #137745
114年 - 114 國立臺灣大學_轉學生招生考試_數學系:微積分(A)#137744
114年 · #137744
113年 - 113 國立嘉義大學_轉學生招生考試試題_(全校):微積分#122986
113年 · #122986
112年 - 112 國立臺灣大學_碩士班招生考試題:微積分(D)#130254
112年 · #130254
112年 - 112 國立陽明交通大學_碩士班入學招生試題_統計學研究所﹕微積分與線性代數#130252
112年 · #130252
112年 - 112 國立嘉義大學_轉學生招生考試試題:微積分#123297
112年 · #123297