所屬科目:研究所、轉學考(插大)-微積分
(b)y=.
2.Find the extreme value(s) of z=.
(c) Find ∂P*/∂Y0 and ∂P*/∂Y0 , and discuss their economic implications.
(a)
(b)
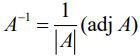
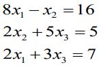
7. Find the inverse of A using the formula if
8. Given A=,b=, and x=. Calculate (1) Ab , (2) AIb , (3) x'IA, and (4) x'A.