阿摩線上測驗
登入
首頁
>
研究所、轉學考(插大)-微積分
>
103年 - 103 東吳大學轉學生招生考試試題_經濟學系:微積分#116019
> 申論題
申論題
試卷:103年 - 103 東吳大學轉學生招生考試試題_經濟學系:微積分#116019
科目:研究所、轉學考(插大)-微積分
年份:103年
排序:0
申論題資訊
試卷:
103年 - 103 東吳大學轉學生招生考試試題_經濟學系:微積分#116019
科目:
研究所、轉學考(插大)-微積分
年份:
103年
排序:
0
題組內容
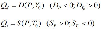
5. Let the demand and supply functions for a commodity be:
where Y
0
is income and T
0
is the tax on the commodity. All derivatives are continuous.
申論題內容
(b) Check whether the implicit-function theorem is applicable. If so, write the equilibrium identity.