所屬科目:捷運◆電子概論
16. 求下圖電路中之電壓 Vo之值為何? (A)10 V (B)30 V (C)-10 V (D)-30 V。
17. 將電壓源v(t) = 2 sin t(伏特)與 1 亨利電感及 1 法拉電容串聯,則此串聯電路之特徵方程式? (A)s2 + 1 = 0 (B)s2+2 = 0 (C)s2 + 2 = 0 (D)s2 + 2s + 1 = 0.
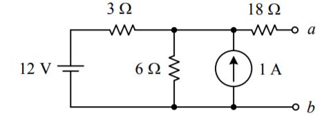
19. 下圖電路 由 a-b 兩端點往左視入之戴維寧等效電壓 VTH及戴維寧等效電阻 RTH各為何? (A) VTH = 5 V、RTH = 10 Ω (B) VTH = 5 V、RTH = 20 Ω (C) VTH = 10 V、RTH = 10 Ω (D) VTH = 10 V、RTH = 20 Ω。
20. 圖示電路中之電流 io值為多少? (A)2 A (B)3 A (C)4 A (D)5 A。
21. 如圖所示之電路, βvx 為相依電流源之輸出電流。當 β =1 時,則由 a-b 兩端點往右視入之等效電 阻 Req為 (A)3 Ω (B)5 Ω (C)-3 Ω (D)-5 Ω。
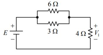
22. 如圖所示電路,若 V1 = 12 V ,請問流過 6 Ω 電阻的電流應該為多少安培? (A)1 A (B)2 A (C)3 A (D)4 A。
23. 如圖所示電路,若 t = 0– 時電路為穩態,在 t = 0 時開關打開(open),求 t ≥ 0 時的 v (t)為何? (A) (B) (C) (D) 50e -4t V 。
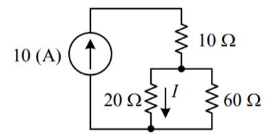
24. 圖示電路中,流過 20 Ω 電阻之電流 I 大小為何? (A)6.5 A (B)7.5 A (C)8.5 A (D)2.5 A。
28. 若伏特與安培,可知 v 與 i 之間的相位關係為 (A)v 超前 i 30° (B)v 落後 i 30 °(C)v 超前 i 90° (D)v 落後 i 90 °。
29. 下圖為一邏輯閘的內部實現電路,A 與 B 為輸入端點而 C 為輸出端點,此邏輯閘為 (A)AND 閘 (B)OR 閘 (C)NAND 閘 (D)NOR 閘。
30. 下圖為一邏輯閘的內部實現電路,A 與 B 為輸入端點而 C 為輸出端點,此邏輯閘為 (A)AND 閘 (B)OR 閘 (C)NAND 閘 (D)NOR 閘。
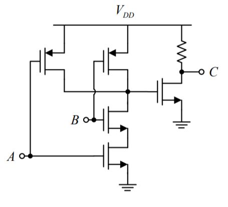
31. 下圖為一邏輯閘的內部實現電路,A 與 B 為輸入端點而 C 為輸出端點,此邏輯閘為 (A)AND 閘 (B)OR 閘 (C)NAND 閘 (D)NOR 閘。
32. 下圖所示電路,最常被用來作為何種用途? (A)對數器 (B)指數器 (C)積分器 (D)微分器。
33. 下圖 MOSFET 偏壓於飽和區且 gm = 3 mS ,若該電晶體由汲極視入之小訊號輸出阻抗 r o = 5 k Ω ,此 電路之小訊號電壓增益為何? (A)-10 (B)-12 (C)-15 (D) -21。
35. 如下圖所示,關於小訊號共源極放大器(CS amplifier) 的敘述,下列何者正確? (A) 汲極交流輸出電壓 vout與閘極輸入訊號電壓 vin同相 (B) 當源極電阻 RS短路時,交流電壓增益(AV = vout / vin )的絕對值最大 (C) 此放大器又稱為源極隨耦器(Source follower) (D) 輸出端加入負載電阻時,對交流電壓增益 AV沒有影響
36. 下圖所示之電路,輸出電壓 vo =? (A) + vm (B) - vm (C)+2 vm (D) -2vm。
37. 下圖所示之電路,輸出電壓 Vo =? (A)+ 5 V (B)- 5 V (C)+ 10 V (D)- 10 V。
38. 假設圖中之運算放大器為理想,試求此電路之輸出電壓為多少伏特? (A)+23 V (B) -23 V (C) +17.3V (D) -17.3 V。
39. 某電場表示式為於空氣中傳播,電場之波長為何? (A)2/3 m (B)2π m (C)3π m (D)1.5 m。
40. 已知電位函數 V,以下何者正確描述了在無電荷空間(free space)中的 Laplace 方程式? (A)∇V = 0 (B)∇2 V = 0 (C)∇ ✕ V = 0 (D)∇ 2 X V = 0。.
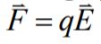
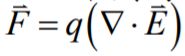
42. 已知於電場 中,一電荷 q 所受之電力為 。下列何者為電力與電場的正確關係? (A) (B) (C)(D) 。
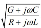
43. 傳輸線特徵阻抗(characteristic impedance)之計算公式為下列何者? (A)(B) (C) (D) 。
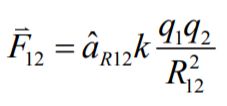
47. 若兩電荷 相距 R12 ,為 q2 所受 q1 的力, 為 q1 到 q 2方向的單位向量,k 為比例常數。 以下何者為庫侖定律的最正確描述? (A) (B) (C) (D) 。
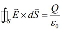
49. 已知某一封閉區域 S 內含電荷 Q 且電容率(permittivity)為 ε 0 ,若空間中的電場函數為 ,以下何者 為高斯定律的正確描述? (A) (B) (C)(D) 。
50. 兩根無限長的平行直導線,其上載有大小相等而方向相反的電流 I,並各以 dI /dt 的變化率增加。 如圖,一矩形線圈位於導線平面之內,則 (A)線圈中無感應電流 (B) 線圈中感應電流為順時鐘方向 (C)線圈中感應電流為逆時鐘方向 (D) 以上皆非。