所屬科目:北水◆電機機械及電力系統
1.在磁路中, F 表示磁動勢, R 為磁阻, 為磁通量,下列何者正確? (A) (B) (C) R = F∅ (D)
2.某線圈的匝數為 10 匝與磁通量 = 0.02sin200t Wb 完全耦合,此線圈的感應電勢為: (A) 40sin200 Vt (B) 40cos200 Vt (C) 20cos200 Vt (D) 0.2sin200 Vt
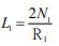
3.某繞線型電感器,其 N1 表示繞組匝數, R1 表示磁路的磁阻,則電感 L1 為: (A) (B) (C) (D)
4.某電感為 0.5 mH,電流為 4 A,則此電感儲存能量為: (A) (B) (C) (D)
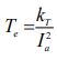
5.某他激式直流電動機的激磁場維持不變,其為轉矩常數固定,則電磁轉矩 與電樞電流 的關係為: (A) (B)(C) (D)
6.他激式直流發電機激磁場的磁通量固定,則無載端電壓與轉速的關係為: (A)無載端電壓與轉速成正比 (B)無載端電壓與轉速平方成正比 (C)無載端電壓與轉速成反比 (D)無載端電壓與轉速平方成反比
7.某永磁式直流電動機的等效電樞電阻為 0.5 ,在端電壓為 20 V 時,無載的轉速為 3000 rpm,不計 無載損失,當轉速為 2400 rpm 時,則電樞電流 約為: (A) 4 A (B) 8 A (C) 10 A (D) 16 A
8.下列直流電動機,何者具有高起動轉矩? (A)串激式電動機 (B)分激式電動機 (C)永磁式電動機 (D)差複激式電動機
9.某單相變壓器額定視在功率為 10 kVA,額定電壓 200 V 100 V ,則高壓側額定電流為: (A) 10 A (B) 20 A (C) 40 A (D) 50 A
10.單相變壓器的額定電壓為 ,用三個單相變壓器接成三相系統,高壓側繞組為 △接,低 壓側繞組為 Y 接,則此三相變壓器額定電壓為: (A) (B) (C) (D)
11. 10 kVA 單相變壓器額定電壓的鐵心損失為 150 W,額定電流的銅損為 250 W,在額定電流、額定 電壓、功率因數為 0.8 滯後運轉,此效率約為: (A) 0.8 (B) 0.9 (C) 0.95 (D) 0.98
12.比壓器(PT)及比流器(CT)在使用時,須注意: (A)比壓器的二次側不可以開路,比流器的二次側不可以短路 (B)比壓器的二次側不可以短路,比流器的二次側不可以開路 (C)比壓器的二次側不可以開路,比流器的二次側不可以開路 (D)比壓器的二次側不可以短路,比流器的二次側不可以短路
13.某變壓器的匝數比為 5,若低壓側負載電阻為 10 Ω,則等效至高壓側的負載電阻為: (A) 5 Ω (B) 25Ω (C) 125Ω (D) 250Ω
14.變壓器的鐵心採用矽鋼片,其目的為: (A)減少鐵心損失 (B)減少負載損失 (C)減少銅損失 (D)減少串聯等效電阻
15.某變壓器在無載時電壓為 240 V,滿載時電壓為 220 V,則此電壓調整率約為: (A) 20 % (B) 15 % (C) 12 % (D) 9 %
16. 6 極,60 Hz 的三相感應電動機,在滑差率為 0.04 時,其轉速為: (A) 1000 rpm (B) 1152 rpm (C) 1500 rpm (D) 2100 rpm
17.在三相旋轉磁場方面,表示每相磁動勢振幅,則三相合成磁動勢振幅 為: (A) (B) (C) (D)
18.三相感應電動機的轉速為 200 rad/ s (1910 rpm),機械負載為 10 N-m,則此機械負載功率為: (A)19.1 kW (B) 9.55 kW (C) 2.0 kW (D) 1.0 kW
19.下列何種電動機的轉子為鼠籠式的繞組? (A)三相同步電動機 (B)他激式直流電動機 (C)分激式直流電動機 (D)三相感應電動機
20.在三相感應電動機中,欲量測轉子側繞組的等效電阻的實驗為: (A)無載實驗 (B)滿載實驗 (C)堵轉實驗 (D)外部實驗
21.三相感應電動機欲改變轉動方向,下列何者正確? (A)改變輸入電壓的相序 (B)改變輸入電壓值 (C)改變輸入電壓的頻率 (D)改變輸入電流值
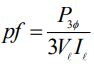
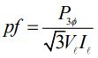
22.三相感應電動機的輸入線電壓,線電流 ,若輸入的總實功率,則此輸入功率因數 pf 為: (A) (B)(C) (D)
23.若 10 極三相同步電動機,電源頻率為 50 Hz,則其轉速為: (A) 1500 rpm (B) 1200 rpm (C) 1000 rpm (D) 600 rpm
24.三相感應電動機採用 Y- 降壓起動方法,其主要目的為: (A)提高運轉轉速 (B)提高起動轉矩 (C)降低輸入功率因數 (D)降低起動電流
25.有關三相同步發電機的無載磁飽和曲線,下列敘述何者正確? (A)表示感應電勢與激磁場電流的關係 (B)表示轉速與激磁場電流的關係 (C)表示電樞電流與激磁場電流的關係 (D)表示端電壓與電樞電流的關係
26.在輸電容量不變時,輸電電壓增加一倍,則線路壓降與線路損失有何變化? (A)線路壓降與線路損失均為原來的 2 倍 (B)線路壓降與線路損失均為原來的 0.5 倍 (C)線路壓降為原來的 2 倍、線路損失為原來的 0.25 倍 (D)線路壓降為原來的 0.5 倍、線路損失為原來的 0.25 倍
27.每相阻抗為 25.4∠30°歐姆的 Y 接負載,經由輸電線連接到變電所匯流排,已知輸電線每相阻抗為 1∠75°歐姆,若負載端之線電壓為 4400 伏特,則變電所匯流排的線電壓為多少? (A) 4450 伏特 (B) 4524 伏特 (C) 4620 伏特 (D) 4720 伏特
28.每相阻抗為 Z∠θ的三相負載由三相平衡電源供電,若負載端的線電壓為、線電流為,則負載 消耗的總功率為何? (A) (B) (C) (D)
29.在【圖 29】中,匯流排 1 之電壓為 V1=1∠90°、匯流排 2 之電壓為 V2=1∠0°,若兩個匯流排間的輸 電線阻抗,則由匯流排 1 送出的複數功率 S1 為多少?
(A) 1+j1 (B) 1-j1 (C) 0.5+j0.5 (D) 0.5-j0.5
30.某實心導線載有電流 160 安培,請問該導體外 2 公尺處的磁場強度為多少? (A) (B) (C) (D)
31.某三相輸電線路之串聯阻抗為 0.483∠77.2°Ω/km,並聯導納為 S/km,請問此線路之 特性阻抗(characteristic impedance)Zc 為何? (A) 140 ∠12.8 °Ω (B) 280∠12.8°Ω(C) 374 ∠-6.4 °Ω (D) 714∠- 6.4°Ω
32.某一 161 kV 輸電線之長度為 300 km,其串聯電感為 (H/m)、並聯電容為 (F/m), 請問此線路的突波阻抗(surge impedance)為多少歐姆? (A) 280 歐姆 (B) 300 歐姆 (C) 350 歐姆 (D) 430 歐姆
33.【圖 33】為長程輸電線之等效電路,其中 V1 與 I1 分別為送電端的電壓與電流,V2與 I2 分別為受電端的電壓與電流,若輸電線之長度為 、特性阻抗(characteristic impedance)為 、傳播常數(propagation constant)為 γ ,則 Z' 為多少?
(A) (B) (C) (D)
34.則 為多少? (A) -30° (B) 30° (C) 60° (D) 120°
35.承 34 題,匯流排 1 往匯流排 2 傳送之實功率最大值為多少? (A) 9.5 (B) 12.5 (C) 14.5 (D) 16.5
36.則一次側的電壓為多少? (A) 59 V (B) 236 V (C) 427 V (D) 472 V
37.承 36 題,負載電流為多少? (A) 63.6 A (B) 89.9 A (C) 127.1A (D) 179.7A
38.某阻抗以 25 MVA、6.9 kV 為基準,則其阻抗標么值為 0.6∠37°,若改以 75 MVA、13.8 kV 為基準, 則其阻抗標么值為何? (A) 1∠37° (B) 4∠-37° (C) 0.25∠37° (D) 0.45∠37°
39.某電力系統之單線圖如【圖 39】所示,請問此系統之導納矩陣為何?
40.某輸電線之每相總阻抗為 150∠75° Ω,若輸電線採用短程輸電線模型,則其 ABCD 參數為何?
(A) A=1、B=150∠75°、C=0、D=1 (B) A=1、B=50∠75°、C=0、D=1 (C) A=150∠75°、B=1、C=0、D=1 (D) A=50∠75°、B=1、C=1、D=0
41.某電力系統之單線圖如【圖 41】所示,若匯流排 1 為搖擺匯流排(swing bus or slack bus)則匯流排 3 為何種類型的匯流排?
(A)搖擺匯流排 (B)負載匯流排 (C)電壓控制匯流排 (D)功率控制匯流排
42.當 A 機之發電 量為 200MW 時,A 機之增量成本為何? (A) 21 元/MWhr (B) 32.5 元/MWhr (C) 4100 元/MWhr (D) 4142 元/MWhr
43.承 42 題,若兩部發電機之發電量最大值均為 500 MW,當全系統需量為 800 MW 則最佳調度時之 A 機發電量為何? (A) 300 MW (B) 330 MW (C) 400 MW (D) 500 MW
44.某負載之三相電流分別為,則其零序電流為何? (A) (B)(C) (D)
45.某三相電源之 a 相的相電壓對稱分量分別為:零序電壓為零、正序電壓為 ∠-30°與負序電壓為 ∠30°,則此電源的 b 相電壓為多少? (A) 5 (B) -5 (C) 10 (D) -10
46.某電力系統發生單相接地,若發生接地處之故障電流的對稱分量為:零序分量、正序分量 、 負序分量,則下列何者正確? (A)(B) (C)(D)
47.某電力系統共有三個匯流排,其匯流排阻抗矩陣(bus impedance matrix)如下:
行列號碼即為對應匯流排之號碼。若故障前匯流排 2 之電壓為 1.0∠0°,當匯流排 2 發生三相直接接地故 障,則其故障電流約為多少?
(A) j5.8 (B) -j5.8 (C) j7.0 (D) -j7.0
48.某電力系統之線路總損失為 ,若第 i 部發電機組之發電量為,則其罰點因數(penalty factor) 為何? (A) (B) (C)(D)
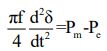
49.某三相同步發電機的頻率為 f、功率角為、輸入功率之標么值為、輸出功率之標么值為,若發電機的標么慣量性常數(per unit inertia constant) H = 4 秒,則其搖擺方程式(swing equation)為何? (A)(B) (C) (D)
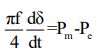
50.某三相 60Hz 發電機的標么慣量性常數(per unit inertia constant) H = 2 秒,故障前其功率角為 10、輸 入功率與輸出功率均為 1 p.u.,於 t=0 秒時發電機端點發生三相接地故障,若故障期間發電機之輸入功率維持 1 p.u.,則故障期間發電機的功率角方程式為何? (A) 47.1t+0.1745 (rad) (B) 47.1t 2+0.1745 (rad) (C) 94.3t2 +0.1745 (rad) (D) 94.3t2 +47.1t+0.1745 (rad)