所屬科目:北水◆電機機械及電力系統
12.有關三相變壓器兩側繞組的不同連接方式,下列何種繞組的連接方式可以讓零序電流在該三相變壓 器的一次側及二次側之間流動? (A) Y-Y 連接且兩個 Y 連接之中性點均接地 (B) Y-△連接且 Y 連接之中性點接地 (C) △-Y 連接且 Y 連接之中性點不接地 (D) △-△連接
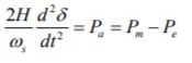
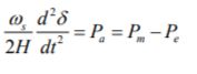
20.有關電力系統穩定度之搖擺方程式(swing equation),下列何者為以標么(per unit)為單位所表示之正確 搖擺方程式? (A) (B) (C)(D)
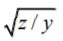
25.電力系統採用長距離輸電線路表示時,若以x 表示自線路受電端開始的一小段距離,則 z△x、y△x 分別代表此小段距離內的串聯阻抗、並聯導納,則下列何者為該輸電線路的特性阻抗(characteristic impedance)? (A) (B) (C) (D) zy
34.低壓三相感應電動機以 Y-Δ 降壓啟動,請問 Y、Δ 連接起動電流之比與 Y、Δ 連接起動轉矩之比分 別為何? (A) 1/、1/3 (B) 1/3、1/ (C) 1/3、1/3 (D)1/、1/