所屬科目:北水◆電機機械及電力系統
1.若直流發電機電壓調整率為負值,則其激磁方式為下列何者?(A)差複激式 (B)過複激式 (C)分激式 (D)永磁式
2.改善大容量直流機電樞反應所引起之問題,其策略為下列何者?(A)加補償繞組 (B)移動電刷位置 (C)電樞電路串入電容 (D)電樞電路串入電阻
3.常用於交流電弧電焊機之變壓器為下列何者?(A)恆壓變壓器 (B)自耦變壓器 (C)漏磁變壓器 (D)可變頻變壓器
4.若欲將三相變二相或二相變三相,則應採用下列何種連接法?(A) V-V 連接 (B) △-Y 連接 (C) Y-△ 連接 (D)史考特(Scott)連接
5.因一台變壓器發生故障,採取之臨時應變供電為 U-V 連接,則原來採何種連接方式?(A) Y-△ 連接 (B) △-△ 連接 (C) △-Y 連接 (D) Y-Y 連接
6.相同規格的 100 kVA 兩台變壓器,作 T-T 連接,則可供電三相負載為:(A) 200 kVA (B) 200 kVA (C) 100 kVA (D) 300/ kVA
7.供電 V-V 接線,係為△-△接線之變壓器有一相故障時之臨時應變措施,或建廠初期使用之接線,其輸出容量為原△-△供電時之百分比為何? (A) 86.6% (B) 70.7% (C) 57.7% (D) 50%
8.容量 20 kVA 之變壓器,全負載時之鐵損為 1.0%,銅損為 1.0%,今將此變壓器以功率因數為 80%,全負載 6 小時,無載 18 小時使用,則全日效率為: (A) 93.0% (B) 94.1% (C) 97.0% (D) 98.7%
9. 60 kVA 油浸式變壓器之一次側分接頭接在 3150 V 時,二次側之電壓為 110 V,若將一次側分接頭置於3000 V 時,則二次側電壓將為下列何者? (A)上升 5.5 V (B)上升 11 V (C)下降 5.5 V (D)下降 11 V
10.配電變壓器短路試驗,若從高壓側加電源,所加之電壓約為下列何者?(A)額定電壓 2% - 12% (B)額定電壓之 90%(C)額定電壓之 150% (D)額定電壓之 200%
11.油浸配電變壓器常封入氮氣,其主要目的為何?(A)加強呼吸作用 (B)絕緣 (C)冷卻 (D)防止呼吸作用
12.三相繞線式感應電動機,若外加電源不變,將轉部之外加電阻器變大,則其最大轉矩將如何變化?(A)增大 (B)減少 (C)不變 (D)變為零
13.三相感應電動機以全電壓啟動時,啟動轉矩為 900 kg-m,則 Y-△啟動時,啟動轉矩為何?(A) 2700 kg-m (B) 1800 kg-m (C) 900 kg-m (D) 300 kg-m
14.單相感應電動機運動之方向為順時針,則兩個旋轉磁場對轉子產生轉矩為何?(A)大小相同 (B)順時針旋轉磁場較逆時針旋轉磁場為小(C)逆時針旋轉磁場較順時針旋轉磁場為小 (D)不一定
15.多相感應電動機最佳的啟動特性為下列何者?(A)小啓動轉矩、大啓動電流 (B)小啓動轉矩、小啓動電流(C)大啓動轉矩、小啓動電流 (D)大啓動轉矩、大啓動電流
16.交流電動機若以電容器啓動的 P 極電動機,其電源頻率 f,則電動機轉速(N)計算公式為何?(S 為轉差率) (A) N=120 P(1-S)/f (B) N=120 f(1-S)/P (C) N=120 f/P (D) N=120 P/f
17.三相感應電動機的轉子輸入功率為 pr,轉子輸出功率為 po,轉子銅損為 pc2,轉差率為 S,則 pr:po:pc2應等於: (A) (1-S):S:1 (B) S:(1-S):1 (C) (1-S):1:S (D) 1:(1-S):S
18.繞線式感應電動機運轉控制中,常在轉子電路中串入電阻,可使:(A)啟動電流增加 (B)啟動電流減小,啟動轉矩增大(C)啟動轉矩與啟動電流均降低 (D)對啟動電流無影響
19.在引擎發電機結構中,經常會裝有飛輪,其作用為何?(A)增加轉速 (B)平衡轉軸 (C)減少柴油用量 (D)維持定速
20.三相同步發電機之百分比同步阻抗越大,則短路比變化為何?(A)短路比越大 (B)短路比越小(C)短路比的大小與百分比同步阻抗值無關 (D)短路比的大小與百分比同步阻抗值相關但可能大也可能小
21.多相同步發電機輸出端若短路,則短路電流對感應電動勢為何?(A) 90°落後 (B) 90°超前 (C)相同 (D)不一定
22.同步發電機在額定電壓下發生短路故障,其瞬間電流將甚大,是因為下列何種現象?(A)電樞電阻太大 (B)電樞漏磁電抗太大 (C)電樞反應尚未建立 (D)電樞反應太大
23.三相四極發電機其電樞槽數共 48 槽,繞線節距為 5/6,則其節距因數 Kp 為何? (A) sin (30° ) (B) sin (15° ) (C) cos (30°) (D) cos (15° )
24.系統運轉中,若兩台同步發電機作並聯運轉,則其有效功率分擔與:(A)原動機動力成正比 (B)原動機動力成反比 (C)激磁電流成正比 (D)激磁電流成反比
25.同步電動機運轉於半載時,若輸入電流較外加電壓為超前,漸增加其激磁電流,則其功率因數將會產生何種變化? (A)漸大 (B)漸小 (C)先增大後再減小 (D)先減小後再增大
26.三相電動機在平衡穩態時,其總瞬時功率為何?(A)常數 (B)兩倍頻率弦波項 (C)三倍頻率弦波項 (D)一個常數項與兩倍頻率弦波項
27.一條無損失(lossless)的長程輸電線,其每公里的串聯阻抗為 jwL Ω,每公里的並聯導納為 jwC S,則其突波阻抗為多少Ω? (A) (B)(C) (D)
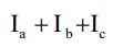
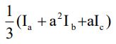
28.某負載之三相電流分別為 Ia、Ib 與 Ic,令運算子 a=1∠120°,則其正序電流為: (A) (B) (C) (D)
29.下列何者不是高壓輸電的優點? (A)減少線路電壓降 (B)增加輸電距離 (C)減少線路損失 (D)避免電暈
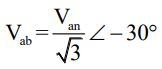
30.在平衡三相、Y 接、正相序電源中,其線電壓 Vab 與相電壓 Van 之關係為何? (A) Vab =Van (B)(C) (D)
31.一般架空輸電線最常採用的導體為:(A)銅心鋼線 (B)鋁心鋼線 (C)鋼心銅線 (D)鋼心鋁線
32.有關交流輸電線路的集膚效應之敘述,下列何者正確?(A)溫度愈高導體中心電流密度愈小 (B)頻率愈高導體中心電流密度愈小(C)溼度愈高導體中心電流密度愈小 (D)氣壓愈高導體中心電流密度愈小
33.當輸電線間之電場強度使導體周圍的空氣離子化(ionized),此現象稱為:(A)電暈 (B)集膚效應(C)傅倫第效應 (D)鄰近效應
34.某實心導線之電流為 i 安培,則導體外 r 公尺處的磁場強度為多少? (A)安-匝/公尺 (B)安-匝/公尺 (C)安-匝/公尺 (D)安-匝/公尺
35.下列何者可降低輸電線的電感?(A)增加輸電線相間的距離 (B)增加輸電線導體的半徑(C)增加輸電線的電流 (D)降低輸電線的電壓
36.某電力系統如【圖 36】所示,在電力潮流分析時,匯流排 2 待求的未知量為:(A)實功率與虛功率 (B)實功率與電壓大小(C)電壓大小與電壓相角 (D)虛功率與電壓相角
37.在短程輸電線的模型中,其 ABCD 傳輸參數何者為零?(A) A (B) B (C) C (D) D
38.某一發電機組之燃料遞增費用 IC(Incremental Cost)為 β+2γPG (元/MWh),若其燃料費用最少為α(元/h), 則此機組之燃料費用曲線(fuel-cost curve)為: (A) α+ β+γPG (元/h) (B) β+(α+2 γ)PG (元/h) (C) α+βPG +2γP2G (元/h) (D)α+βPG + γP2G (元/h)
39.某系統故障時之故障電流為 If ,故障電流之正序分量為 I+ af、負序分量為I- af、零序分量為,已知且 ,則此系統之故障型態為: (A)單線接地 (B)雙線短路 (C)雙線短路接地 (D)三相接地
40.有關變壓器之阻抗標么值之計算,下列敘述何者正確?(A)與功率基準值成正比 (B)與功率基準值成反比(C)與電壓基準值成正比 (D)與電流基準值成反比
41.一個三母線電力系統的零、正與負相序母線阻抗矩陣為,請問直接線對線故 障發生在母線 2 之標么故障電流為何?(四捨五入至小數點以下第二位) (A) 1.73 pu (B) 3.46 pu (C) 5.19 pu (D) 6.92 pu
42.三個負載並聯接於一 60 Hz 之 11.4 kV 三相電源。負載 1:電感性負載,40 kW 及 660 KVAR;負載 2:電容性負載,240 kW,功率因數為 0.8;負載 3:電阻性負載,80 kW。一 Y 接電容器組與負載並聯,請問改 善整體功率因數至 0.8 落後之每相電容值( F)為何?(四捨五入至小數點以下第三位) (A) 2.143 (B) 4.286 (C) 6.429 (D) 8.572
43.有一電力系統如【圖 43】所示,標示其上者為以 100 MVA 為基準之電抗標么值。若其母線導納矩陣為,則下列何者錯誤? (A) A = -j10.25 (B) B = -j5 (C) C = j2.5 (D) D = -j20
44.一個三相不平衡之系統,其三相電流分別為 Ia =12∠0° A、 Ib=6∠-90° A 及 Ic = 8∠150° A,有關其零序 I0、正序 I1及負序 I2 成分之敘述,下列何者正確? (A) I0 =1.22- j0.46 (B) I1 =8.55+ j3.12 (C) I2 = 2.27 - j1.67 (D) I0 + I1 + I2 =10
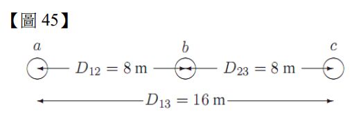
45.一條三相完全換位輸電線每相由一條導線組成,採水平方式架設,導線間距為 8 m,如【圖 45】所示。 每一導線的幾何平均半徑為 2 cm。請問此輸電線每相每公里的電感值為何? (A) 4 mH/km (B) 2 mH/km (C) 1 mH/km (D) 0.5 mH/km
46.一實心圓柱狀鋁導線,長 30 km,面積為 160000 圓密爾。鋁導線在 20 C 時的電阻係數為 2.8✖10-8Ω-m, 請問在 40℃ 時的導線電阻為何? (A) 2.8 Ω (B) 5.6 Ω (C) 11.2 Ω (D) 22.4 Ω
47.一部 36 MVA、17.32 kV、60 Hz 三相同步發電機,每相同步電抗為 10 Ω(忽略電樞電阻)。發電機供應額定功率、額定電壓至一無限匯流排,功率因數為 0.8 落後,請問每相激磁電壓為何? (A) 18.8 kV (B) 19.7 kV (C) 20.5 kV (D) 21.4 kV
48.三個相同的 10 MVA、8 kV/4 kV 單相變壓器,高壓側聯接成 Y 而低壓側聯接成 Δ,每一變壓器參考至高壓側之等效串聯阻抗為 0.2+ j0.8Ω ,變壓器於 4 kV 端供應之平衡三相負載為 24 MVA、功率因數 0.8 落後, 請問變壓器高壓側之線對線電壓為何? (A) 11.31 kV (B) 12.83 kV (C) 13.86 kV (D) 14.99 kV
49.一發電機的額定為 20 MVA、10 kV,中性點直接接地,正、負與零相序電抗分別為 40%、15%與 5%。請問必須置多大的電抗於發電機的中性點,方能將直接單線對地故障的故障電流限制在直接三相故障的故障電流水準? (A) 4 Ω (B) 3 Ω (C) 2 Ω (D) 1 Ω
50.已知一電力系統之母線阻抗矩陣為,則三相直接接地故障發生於哪一母線時,所造成的故障電流最大? (A)母線 1 (B)母線 2 (C)母線 3 (D)母線 4