阿摩線上測驗
登入
首頁
>
學士後中醫◆化學(含普通化學、有機化學)
> 104年 - 義守學士後中醫 - 化學(含普通化學、有機化學)#22088
104年 - 義守學士後中醫 - 化學(含普通化學、有機化學)#22088
科目:
學士後中醫◆化學(含普通化學、有機化學) |
年份:
104年 |
選擇題數:
50 |
申論題數:
0
試卷資訊
所屬科目:
學士後中醫◆化學(含普通化學、有機化學)
選擇題 (50)
1. 0.1 M 的醋酸鈉(CH
3
COONa)水溶液中,下列何者正確? (A) [CH3COO¯] > [Na
+
] (B) [H
+
] > [OH¯] (C) [Na
+
] > [OH¯] (D) [H
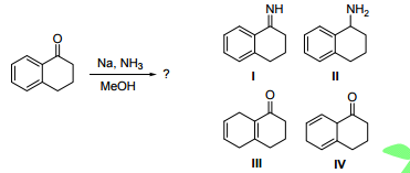
+
] > [CH
3
COOH]
2. 乙醇燃燒時的反應如右:C
2
H
5
OH + a O
2
→ b CO
2
+ c H
2
O (H: 1;O: 16) 式中 a、b、c 為該反應經平衡後的係數;若完全燃燒 1 mol 的乙醇,下列何者錯誤? (A) b + c = 5 (B) a = 3.5 (C) 產生 54 克的水 (D) 產生 44.8 L 的 CO
2
(S.T.P.)
3. 已知某反應 A → B + C 的速率常數為 0.01 Ms
-1
(25℃);某生進行該反應時,起始濃度[A]
o
= 0.1 M, 則下列何者正確? (A) 速率定律式 rate = k (B) integrated rate law [A]
t
– [A]
o
= kt (C) 反應的半衰期 t
1/2
= 69 s (D) 10 秒時,[A] = 0.025 M
4. 已知過氧化氫的分解反應的反應機制如下:
(1) H
2
O
2
+ I¯ → H
2
O + IO¯ (slow, rate constant k1)
(2) H
2
O
2
+ IO¯ → H
2
O + O
2
+ I¯ (fast, rate constant k2)
下列何者錯誤? (A) I¯是中間產物 (B) rate = k1[H
2
O
2
][I
-
] (C) 總反應為:2 H
2
O
2
→ 2 H
2
O + O
2
(D) 速率決定步驟是反應(1)
5. 下列何者當混合後可以成為一緩衝溶液(buffer solution)?
(A) 30.0 mL 0.10 M NaOH,10.0 mL 0.10 M CH
3
COOH (B) 15.0 mL 0.10 M NaOH,15.0 mL 0.10 M CH
3
COOH (C) 15.0 mL 0.10 M NaOH,20.0 mL 0.10 M CH
3
COOH (D) 10.0 mL 0.10 M NaOH,5.0 mL 0.10 M CH
3
COONa
6. 以 0.08 M 的氫氧化鈉水溶液滴定 100 mL,0.08 M 的弱酸(HA,Ka =10
-6
)水溶液,當滴定達當量點 時弱酸水溶液的 pH 值為若干?(log
10
2 = 0.3010,log
10
3 = 0.4771) (A) 10.7 (B) 9.3 (C) 8.7 (D) 7.3
7. 以氫氧化鈉水溶液滴定一弱酸(HA)水溶液,其滴定當量點預期為 pH = 9.0,下列何者是最適宜的指 示劑(indicator)? (A) Methyl orange,pK
a
= 3.47 (B) Methyl red,pK
a
= 5.1 (C) Bromothymol blue,pK
a
= 7.1 (D) Phenolphthalein,pK
a
= 9.3
8. 下列何者在水中的溶解度最高?
(A) BaCO
3
,K
sp
= 5.0 × 10¯
9
(B) CaF
2
,K
sp
= 3.9 × 10¯
11
(C) PbCrO
4
,K
sp
= 2.8 × 10¯
13
(D) Al(OH)
3
,K
sp
= 1.3 ×10¯
33
9. 關於下列化合物中心原子的混成軌域(hybridization orbital),何者正確? (A) O
3
,sp
3
(B) CO
3
2
¯,sp
3
(C) I
3
¯,sp (D) NO
2
¯,sp
2
10. 下列物質中,中心原子的混成軌域屬於 sp
2
者共有幾個?BH
3
HCN SO
3
NH
3
C
2
H
4
CH
3
+
(A) 4 (B) 3 (C) 2 (D) 1
11. 下列物質的幾何形狀是直線形的共有幾個?
HOCl HCN CS
2
NH
3
H
2
SO
3
(A) 4 (B) 3 (C) 2 (D) 1
12. 假設某金屬的結構為面心立方單位晶格(face-centered cubic unit cell),其晶格的邊長是 600 pm;該 金屬原子的半徑是____。
(A) 3 Å (B) 2.6 Å (C) 2.1 Å (D) 1.4 Å
13. 某金屬的結構為面心立方單位晶格,其晶格的邊長是 360 pm;該金屬的密度是 8.96 g cm¯
3
;該金屬最可能是____。 (N : 6.02 x 10
23
)
(A) Cu (63.5) (B) Ag (108) (C) Au (197) (D) Cs (133)
14. 某化合物經定量分析發現其中含:49.5% C;5.15% H;28.9% N;16.5% O;若其分子量是 194,則_____。 (C: 12;N: 14)
(A) 簡式 C
5
H
7
NO (B) 分子式 C
4
H
5
NO
2
(C) 分子式 C
8
H
10
N
4
O
2
(D) 分子式 C
11
H
18
N
2
O
15. 氫溴酸水溶液,重量百分率是 48%,密度是 1.05 g/cm
3
。此氫溴酸水溶液的體積莫耳濃度是 。 (Br: 80) (A) 18.0 M (B) 11.6 M (C) 6.22 M (D) 5.12 M
16. 僅含有 NaHCO
3
及 Na
2
CO
3
兩化合物的某試料,若以 0.035 mol HCl
(aq)
恰可將其完全反應並生成0.025 mol 的 CO
2
。請問該試料中原含有 Na
2
CO
3
多少 mol? (A) 0.030 mol (B) 0.025 mol (C) 0.015 mol (D) 0.010 mol
17. 某含氦與氬的氣體混合物,在 1 atm、300 K 時其密度是 0.9 g/L,則下列何者正確? (He: 4;Ar: 40) (R = 0.082 L.atm / mol.K) (A) 氦氣的分壓 0.68 atm (B) 氬氣的分壓 0.68 atm (C) 氦氣的莫耳分率 0.42 (D) 氦氣的莫耳分率 0.5
18. 燃料置於裝置活塞的鋼瓶內,體積 0.255 L,外壓 1 atm。燃燒後體積膨脹至 1.45 L,並釋放 875 J 的熱。此燃料的內能變化,△E,是_____。(1 atm.L = 101.3 J) (A) 996 J (B) 754 J (C) -754 J (D) -996 J
19. 已知:1/2 A → B △H = 150 kJ
3 B → 2 C + D △H = -125 kJ
E + A → 2 D △H = 350 kJ
則 B + D → E + 2 C △H =____ (A) 525 kJ (B) 325 kJ (C) -175 kJ (D) -325 kJ
20. 天然橡膠是由何種單體結合而成的聚合物? (A) 乙烯 (B) 氯乙烯 (C) 異戊二烯 (D) 氯丁二烯
21. 某電化學電池如右所示:Zn(s)∣Zn
2+
(aq)
‖Cu
2+
(aq)
∣Cu
(s)
;下列何者正確?
(A) 氧化半反應是:Cu(s) → Cu
2+
(aq) + 2 e¯
(B) 還原半反應是:Zn
2+
(aq) + 2 e¯ → Zn(s)
(C) 鋅為還原劑
(D) 總反應是:Zn
2+
(aq) + Cu(s) → Cu
2+
(aq) + Zn(s)
22. 某電化學電池如下所示:Fe(s)∣Fe
2+
(aq)‖MnO
4
¯(aq), H+(aq), Mn
2+
(aq)∣Pt(s) 下列何者可以提升電池的電位? (A) 增加[Fe
2+
(aq)]
(B) 降低[MnO
4
¯(aq)]
(C) 增加[H
+
(aq)]
(D) [H
+
(aq)]不會影響電池的電位
23. 關於乾冰(dry ice)的昇華現象,下列何者正確? (A) △H > 0,△S > 0 (B) △H > 0,△S < 0 (C) △H < 0,△S < 0 (D) △H < 0,△S > 0
24. 週期表第三週期的某元素其游離能如下:IE
1
(第一游離能)= 578 kJ/mol,IE
2
= 1820 kJ/mol, IE
3
= 2750 kJ/mol,IE
4
= 11600 kJ/mol;此元素最可能是____ 。 (A) Al (B) S (C) P (D) Si
25. 硼有兩種同位素,
10
B 及
11
B,而硼的平均原子量為 10.8。下列何者正確? I. 均含有相同的電子數 II. 均含有相同的質子數 III. 均含有相同的中子數 IV.
11
B 在自然界的含量佔 80% V.
10
B 在自然界的含量佔 80% (A) I、II (B) I、II、IV (C) I、II、V (D) III、V
26. 有四個酮化物,其中一個它的
13
C-nmr 光譜顯示有五支信號,試問哪個酮化物是符合此
13
C-nmr 光 譜? (A) 4,4-dimethylcyclohexanone (B) 3,3-dimethylcyclohexanone (C) 2,2-dimethylcyclohexanone (D) 2,2,4,4-tetramethylcyclohexanone
27. 選擇最佳試劑以完成下列的化學反應。
(A) Na, NH
3
(B) i. Hg(OAc)
2
, H
2
O; ii NaBH
4
(C) i. Br
2
, ii. 2 KOH (D) i. BH
3
, ii. H
2
O
2
/OH
-
28. 以下構造式(I - IV)中,哪個是下列反應的主要有機產物?
?
(A) I (B) II (C) III (D) IV
29. 下列化合物中,何者會被 Na
2
Cr
2
O
7
/H
2
SO
4
/H
2
O 氧化?
(A) I (B) II (C) III (D) IV
30. 下列構造式(I - IV)中,哪個是以下反應的主要有機產物?
(A) I (B) II (C) III (D) IV
31. 從乙炔(ethyne)為起始物,合成正辛烷(n-octane)。下列合成步驟,何者是正確?
(A) i. NaNH
2
; ii. CH
3
(CH
2
)
4
CH
2
Br; iii. H
2
/Pd-C
(B) i. NaNH
2
; ii. CH
3
(CH
2
)
3
CH
2
Br; iii. H
2
/Pd-C
(C) i. NaOH; ii. CH
3
(CH
2
)
4
CH
2
Br; iii. H
2
/Pd-BaSO
4
(D) i. NaOH; ii. CH
3
(CH
2
)
3
CH
2
Br; iii. H
2
/Pd-C
32. 下列四種化合物,其分子式皆為 C
5
H
10
Br
2
,其中哪個它的
1
H-NMR 光譜數據是符合如下所示? 化學位移(chemical shift):δ 1.0 (9H, s),5.3 (1H, s)。
(A) I (B) II (C) III (D) IV
33. 下列四組構造式中,哪些組是互為非鏡相異構物(diastereomers)?
(A) I, II (B) I, IV (C) II, III (D) III, IV
34. 有未知化合物,其分子式 C
3
H
3
Br,IR 光譜顯示在 3300 cm
-1
(m),2225 cm
-1
(m-w)有特徵吸收。 下列化合物中,何者符合以上 IR 光譜?
(A) I (B) II (C) III (D) IV
35. 有未知化合物,它的
1
H-NMR 光譜數據顯示四個信號(4 signals)。 下列化合物中,何者符合以上
1
H-NMR 光譜?
(A) I (B) II (C) III (D) IV
36. 構造式(I - IV),哪個是下列反應的主要有機產物?
(A) I (B) II (C) III (D) IV
37. 構造式(I - IV)中,哪個是下列反應的主要有機產物?
(A) I (B) II (C) III (D) IV
38. 下列化合物中,其碳-氫鍵(I - IV)(箭頭所示)的強弱順序為?
(A) I > II >III > IV (B) I > III >II > IV (C) IV > III >II > I (D) III > II > I > IV
39. Simvastatin,構造式如下,是一種降血脂藥,它是光學活性化合物,試問其構造式中有多少個不對 稱碳(chiral center)?
(A) 4 (B) 5 (C) 6 (D) 7
40. 下列的兩個 confomational isomers,conformer I 與 conformer II 以 Newman projection 表示如下:試 問其能量差異為何?(已知:H↔ H eclipsed = 4.0 kJ/mol,H↔ CH
3
eclipsed = 6.0 kJ/mol,CH
3
↔ CH
3
eclipsed = 11.0 kJ/mol,CH
3
↔ CH
3
gauge = 3.8 kJ/mol;Φ = dihedral angle)
(A) I 比 II 安定 15.2 kJ/mol (B) I 比 II 安定 10.2 kJ/mol (C) I 比 II 安定 11.2 kJ/mol (D) I 比 II 安定 3.8 kJ/mol
41. 下列一聯串反應(如下所示),構造式(I - IV)中,何者為其最終產物?
(A) I (B) II (C) III (D) IV
42. 嗎啡(morphine)其構造式如下,對於嗎啡的描述何者正確?
(A) 它屬於 3
o
氨(amine),是一種生物鹼(alkaloid),味苦,有強力的止痛作用 (B) 它有五個不對稱中心(chiral center),理論上應該有 32 個立體異構物 (C) 與 CH
2
N
2
反應會得到可待因(codeine),可待因是具有止咳作用 (D) 以上皆是
43. 下列多取代的烯類中,依據 Cahn-Ingold-Prelog 規則,它們的組態(configuration)哪些是屬於 Z-form?
(A) I, II (B) II, III (C) III, IV (D) 以上皆是 Z-form
44. 指認下列分子(I - IV)其組態(configuration)是屬於 R or S-configuration。
(A) I = S, II = S, III = R, IV = S (B) I = S, II = R, III = R, IV = S (C) I = R, II = S, III = S, IV = S (D) I = R, II = R, III = R, IV = S
45. 化合物(I - IV)中,何者是下列反應的主要有機產物?
(A) I (B) II (C) III (D) IV
46. 下列試劑(I - III)中,何者可進行以下反應?
Reagent(s):I. HBr,II. (a) TsCl, pyridine, (b) NaBr,III. PBr3;IV. 以上皆是
(A) I (B) II (C) III (D) IV
47. 有一化合物其分子式 C
10
H
14
,它的
1
H-NMR 數據如下:δ1.2 (d),2.3 (s),2.8 (sept),7.1 (m)。下列 構造式中,何者是此化合物?
(A) I (B) II (C) III (D) IV
48. 構造式(I - IV)中,何者是下列反應的最終主要產物?
(A) I (B) II (C) III (D) IV
49. 下列有機反應得到的產物,其光譜數據如下:EI-MS: M
+
= 86;IR:1715 cm
-1
(strong);
1
H-NMR:δ 1.05 (6H, d, J = 7 Hz),2.12 (3H, s),2.67 (1H, septet, J = 7 Hz);
13
C-NMR:δ18.2,27.2,41.6,211.2。 試問下列構造式(I - V)中,何者是此反應的產物?
(A) I (B) II (C) III (D) IV
50. 下列反應條件,何者最適合完成以下的合成?
(A) CH
3
NH
2
, acid catalyst (B) CH
2
=NH, acid catalyst (C) (i) NH
3
acid catalyst;(ii) CH
2
I
2
& Zn(Cu) (D) (i) HCN & NaCN;(ii) LiAlH
4
in ether
申論題 (0)
相關試卷
115年 - 115 義守大學_學士後中醫學系入學招生考試:化學 (含普通化學、有機化學)#138215
115年 · #138215
114年 - 114 慈濟大學_學士後中醫學系招生考試試題:化學科#126734
114年 · #126734
114年 - 114 義守大學_學士後中醫學系入學招生考試試題:化學 (含普通化學、有機化學)#126420
114年 · #126420
114年 - 114 中國醫藥大學_學士後中醫學系入學招生考試:化學#126227
114年 · #126227
113年 - 113 中國醫藥大學_學士後中醫學系入學招生考試試題:化學#121562
113年 · #121562
113年 - 113 慈濟大學_學士後中醫學系招生考試試題:化學科#119521
113年 · #119521
113年 - 113 義守大學_學士後中醫學系入學招生考試試題:化學 (含普通化學、有機化學)#119296
113年 · #119296
112年 - 112 慈濟大學_學士後中醫學系招生考試:化學#114232
112年 · #114232
112年 - 112 中國醫藥大學_學士後中醫學系入學招生考試試題:化學#114106
112年 · #114106
112年 - 112 義守大學_士後中醫學系入學招生考試試題:化學 (含普通化學、有機化學)#113712
112年 · #113712