所屬科目:教甄◆物理科專業
1. 在一個桌面上有兩個質量相等的方塊,中間以很輕的繩連接,繩的質量可以忽略。方 塊的質量 M 為 3.0 kg,如圖所示。對下圖中右方的方塊施以一個斜向上方的拉力, 力的大小為20N,此力的方向與水平線的夾角為θ =30°使整個系統在桌面上開始 向右運動。已知在運動時繩是張緊的,因此兩個方塊是一起運動的。兩個方塊與地面 之間的動摩擦係數都是 。右方的方塊與地面間的摩擦力最接近多少 N?(A)3.8(B)4.8(C)5.8(D)6.8
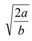
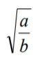
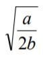
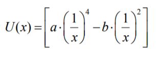
4. 假設兩個粒子彼此之間有一個力,此力的大小只跟兩粒子之間的距離 x 有關。其位 能可以寫成如下的形式: 其中 a,b 是正常數。將兩個粒子一起放在 x 軸上,其中一個固定在原點。此力有一平 衡點,在此平衡點處兩粒子之間的距離 x0 等於: (A) (B) (C) (D) 以上皆非
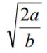
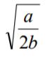
5. 承上題,將可以移動的粒子從距離為正無限遠處自靜止釋放,它能到達最接近原點 處的距離等於: (A) (B)(C) (D) 以上皆非
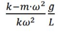
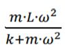
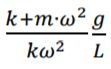
6. 考慮一原長為 L 的彈簧,其彈力常數為 k。假設彈簧質量很小,可以忽略。彈簧一端 固定於一垂直的鐵棒,另一端連著一質量為 m 的質點。鐵棒從靜止開始,慢慢帶動 此彈簧及質點一起旋轉,直到角速度為ω後就維持此旋轉狀態。旋轉時,通過鐵棒、 彈簧及質點的平面一直維持垂直,如下圖所示。彈簧的伸長量 ∆L等於:(A) (B) (C) (D) 以上皆非
7. 承上題,彈簧與垂直鐵棒的夾角θ的 cos 值等於: (A) (B) (C) (D) 以上皆非
8. 一 個 簡 諧 振 盪 器 的 位 置 與 時 間 的 關 係 可 以 以 如 下 的 式 子 表 示 : ,式子中的物理量皆以 SI 制單位表示,角度單位是 rad。 此震盪的週期(s)最接近以下何值: (A) 2.0 (B) 4.0 (C) 8.0 (D) 16
11. 兩絕熱容器體積分別為 3V 與 V ,在其中填充溫度分別為 與 5 T 的氬氣與氮氣, 氣體壓力皆為一大氣壓, R 為氣體常數。在絕熱狀態下使兩容器連通,氣體緩慢達 熱平衡,達熱平衡後氣體溫度為下列何者? (A) (B) 2T (C) (D)
12. 考慮如下圖之兩根不變形鋼條,固定於桌面之上,與水平的夾角固定為 45°。在鋼條 上同一高度處各套一個鐵環,一個鐵環質量為 m。兩鐵環中間繫以一條水平彈簧(彈 力常數為 k,質量可以忽略),兩鋼條頂端處的距離正好是彈簧的自然長度 l。鐵環由 鋼條的頂端處,自靜止狀態放手,使鐵環下落。假設鐵環與鋼條間的摩擦可以忽略。 鐵環下落的過程會先加速,然後減速。當鐵環達到最大下落速率時,距離頂點的垂直 高度差是: (A) (B) (C) (D)
13. 承上題,鐵環下滑一陣子後,鐵環彈簧組會向上反彈。反彈處距離頂點的垂直高度差 是: (A) (B) (C) (D)
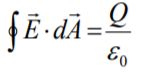
14. 考慮一長直中空的帶電圓柱,其結構是圓柱對稱的,中空部分與圓柱同軸。軸的外半 徑為 2.0m,中空部分半徑為 1.0m。橫切面如下圖所示。電荷平均分布於圓柱內外半 徑間的深色區域(中空部分無電荷),每單位體積的電荷為 。距軸心 1.5 m 處(圖上 a 點)的電場大小(N/C),最接近以下何值。 高斯定律: (A) 1.1 × 105 (B) 2.1 × 105 (C) 3.1 × 105 (D) 4.1 × 105
16. 考慮四條沿 z 軸方向(+z 為伸出紙面)的長直導線,導線位置與電流方向如圖所示 (黑點表示射出紙面,黑叉表示射入紙面),電流大小分別是,而導線與原點距離為 d = 4.0 cm 。 在原點處若有一電荷,電荷量為 +2.0 C,以 5.0 m/s 的速度沿 +x 方向移動,它所受 的磁力大小(N)最接近以下何值?提示:磁力公式 ,長直導線的磁場大小: ,此處 n 的值你應該可以自己代入。( ) (A) 1.5 × 10−4 (B) 2.5 × 10−4 (C) 3.5 × 10−4 (D) 4.5 × 10−4
18. 如下圖之一個裝置,此裝置會產生一個軸對稱,在左圖中沿垂直方向的均勻磁場 B, 磁場內置入一個 5 圈的圓形導線線圈,圓心正好位於對稱軸上。線圈的半徑為 20.0 cm。以裝置垂直向下方向為 z 軸,右圖為一由下向上看的截面圖,磁場方向為 -z 即 射入紙面,圖中黑色圓形線即表示線圈之所在。 假如磁場大小為 ,當 B = .3 04T 時,迴路中的感應電動勢大小(V)最 接近以下何值(提示:別忘了線圈有 5 圈)? (A) 0.6 (B) 1.2 (C) 2.0 (D) 3.0