所屬科目:研究所、轉學考(插大)-微積分
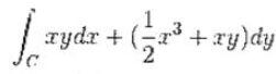
Question 1.(20 points) Evaluate the line integral
where C is the upper half of the ellipse x2 +4y2= 1 from (-1,0) to (1,0)
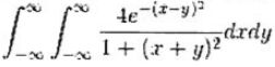
Question 2. (20 points) Evaluate the integral
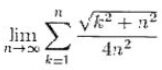
Question 3. (20 points) Evaluate
Question 5. (20 points) Evaluate the surface integral ∫∫(x4+y4 +z4)ds
where S={(x,y,z)|x2+y2+z2=4}