所屬科目:研究所、轉學考(插大)-微積分
(a) (5 points)
(b) (5 points)
(a) (6 points)
(b) (6 points)
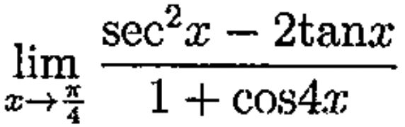
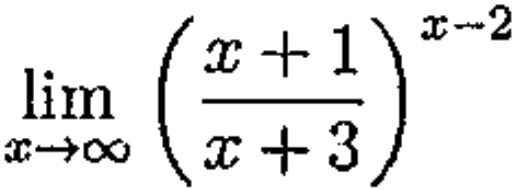
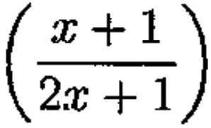
4. (10 points)Find
6. (10 points)Find the volume of the solid that lies under the cone, about the xy-plane, and inside the cylinder x 2+y 2=2x.
7. (10 points)If f (x) = In, find f (n)(0).
8. (10 points)For what value(s) of a does converge?
(b) (4 points) spherical coordinates with order of integration dpdφdθ.