阿摩線上測驗
登入
首頁
>
研究所、轉學考(插大)-微積分
>
104年 - 104 國立成功大學轉學生招生考試試題_微積分_(理工系所聯招)#113204
> 申論題
申論題
試卷:104年 - 104 國立成功大學轉學生招生考試試題_微積分_(理工系所聯招)#113204
科目:研究所、轉學考(插大)-微積分
年份:104年
排序:0
申論題資訊
試卷:
104年 - 104 國立成功大學轉學生招生考試試題_微積分_(理工系所聯招)#113204
科目:
研究所、轉學考(插大)-微積分
年份:
104年
排序:
0
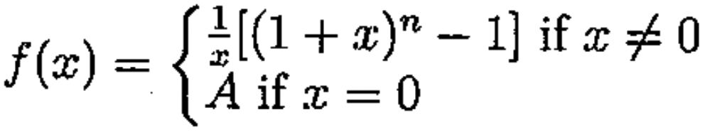
題組內容
2. Define
申論題內容
(a) (5 points) Find value of A such that f is continuous at
x
= 0