所屬科目:研究所、轉學考(插大)-微積分
(a) (8 points)Find the value ofat t = π/2 if x = cos(t), y = 1 - sin(t).
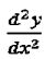
(b) (8 points)Find at the point (x, y, z) = (2, -1, 1) if w = x² + y² + z², z³ - xy + yz + y³ = 1, and x and y are the independent variables.
(a) (10 points)Solve the differential equation: + 2y = 1-, x > 0.
(c) (8 points)Find the solution to = ex(y2 - y) that satisfies y(0) = 2.
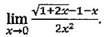
(a) (8 points)Find
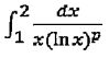
(b) (8 points)Find the value of p for which the following integral converges..
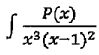
(c) (10 points)Find the second-degree polynomial P(x) such that P(0) = 1, P'(0) = 0, and dx is a rational function.
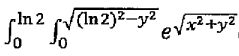
6. (12 points)Evaluate the integral dx dy.(Note: You may change the Cartesian integral above into an equivalent polar integral and evaluate the polar integral.)