阿摩線上測驗
登入
首頁
>
鋼筋混凝土學與設計
> 104年 - 104 地方政府特種考試_三等_土木工程:鋼筋混凝土學與設計#35105
104年 - 104 地方政府特種考試_三等_土木工程:鋼筋混凝土學與設計#35105
科目:
鋼筋混凝土學與設計 |
年份:
104年 |
選擇題數:
0 |
申論題數:
4
試卷資訊
所屬科目:
鋼筋混凝土學與設計
選擇題 (0)
申論題 (4)
【已刪除】一、圖示為鋼筋混凝土矩形梁斷面,混凝土 f′c= 280 kgf/cm
2
,鋼筋 f y= 4200 kgf/cm
2
。若計 算彎矩設計強度φMn時,欲採用φ = 0.9,則梁斷面深度 h 至少應為多少?(25 分)
【已刪除】二、一懸臂鋼筋混凝土梁長度 4 m。梁寬 b = 40 cm,有效梁深 d = 53 cm。懸臂梁承載均 佈靜載重(含自重)2.5 tf/m 與均佈活載重 3.0 tf/m。懸臂梁配置矩形閉合剪力鋼筋 D10,間距如圖所示。混凝土 f′c= 350 kgf/cm
2
,剪力鋼筋降伏強度 f y = 2800 kgf/cm
2
。 試檢核剪力鋼筋的配置是否符合規範規定?(25 分)
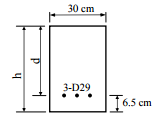
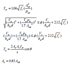
【已刪除】三、圖示為鋼筋混凝土梁斷面,此梁斷面承受剪力Vu= 18 tf 與扭矩Tu= 2 tf-m。梁斷面配 置矩形橫向鋼筋 D10,間距為 10 cm,混凝土淨保護層 4 cm。混凝土 f′c= 210 kgf/cm
2
, 橫向鋼筋 f y = 4200 kgf/cm
2
。試檢核此梁斷面配置之橫向鋼筋在此載重下是否安全? (25 分) 參考公式:
【已刪除】四、圖示為鋼筋混凝土橫箍柱斷面,此柱斷面承受軸壓力與單軸彎矩。混凝土f′ c= 210 kgf/cm
2
,鋼筋降伏強度 f y= 4200 kgf/cm
2
。假設破壞時,拉力鋼筋之受拉應變 為 0.001,試求此時斷面的軸力計算強度 P
n
與彎矩計算強度 M
n
。(25 分)
相關試卷
114年 - 114 地方政府公務、離島地區公務特種考試_三等_土木工程:鋼筋混凝土學與設計#134753
114年 · #134753
114年 - 114 高等考試_三級_土木工程:鋼筋混凝土學與設計#128726
114年 · #128726
113年 - 113-2 國營臺灣鐵路股份有限公司_從業人員甄試試題_第9階-技術員-土木工程:鋼筋混凝土學與設計概要#137156
113年 · #137156
113年 - 113 國營臺灣鐵路股份有限公司_從業人員甄試_第8階-助理工程師-土木工程:鋼筋混凝土學與設計#137104
113年 · #137104
113年 - 113-2 國營臺灣鐵路股份有限公司_從業人員甄試_第8階-助理工程師-土木工程:鋼筋混凝土學與設計#137090
113年 · #137090
113年 - 113-2 國營臺灣鐵路股份有限公司_從業人員甄試_第 9 階-技術員-土木工程:鋼筋混凝土學與設計概要#135450
113年 · #135450
113年 - 113 地方政府公務、離島地區公務特種考試_三等_土木工程:鋼筋混凝土學與設計#124342
113年 · #124342
113年 - 113 高等考試_三級_土木工程:鋼筋混凝土學與設計#121483
113年 · #121483
113年 - 113 國營臺灣鐵路股份有限公司_從業人員甄試_第 9 階-技術員-土木工程:鋼筋混凝土學與設計概要#119089
113年 · #119089
112年 - 112 地方政府特種考試_三等_土木工程:鋼筋混凝土學與設計#118382
112年 · #118382