阿摩線上測驗
登入
首頁
>
學士後西醫-有機化學
> 104年 - 104 學士後西醫:有機化學#27032
104年 - 104 學士後西醫:有機化學#27032
科目:
學士後西醫-有機化學 |
年份:
104年 |
選擇題數:
80 |
申論題數:
0
試卷資訊
所屬科目:
學士後西醫-有機化學
選擇題 (80)
1. Which of the following reagent(s) could be used to oxidize primary alcohol to aldehyde? I. Pyridium chlorochromate (PCC) II. 1. (COCl)
2
, DMSO; 2. Et
3
N III. Dess-Martin periodinane (A) I (B) II (C) III (D) I and II (E) All of the above
2. What is the coupling constant (J value) between Ha and Hb in the following compound? (A) 0~5 Hz (B) 6~12 Hz (C) 11~18 Hz (D) 20~25 Hz (E) None of the above
複選題
3. Which of the following structures is chiral?
(A) I and III (B) II and IV (C) I, III and IV (D) I and IV (E) III and IV
4. Which of the following carbonyl compounds has the largest equilibrium constant for the addition of water? (A)
(B)
(C)
(D)
(E)
5. The Hell-Volhard-Zelinsky reaction involves: (A) the α-bromination of carboxylic acids (B) the α-bromination of ketones (C) the bromination of alcohols (D) the oxidation of aldehydes to acids (E) None of the above
6. Which compound has the lowest pKa?
(A) I (B) II (C) III (D) IV (E) V
7. What is the major product, when 0.10 mol of ICH
2
CH
2
CH
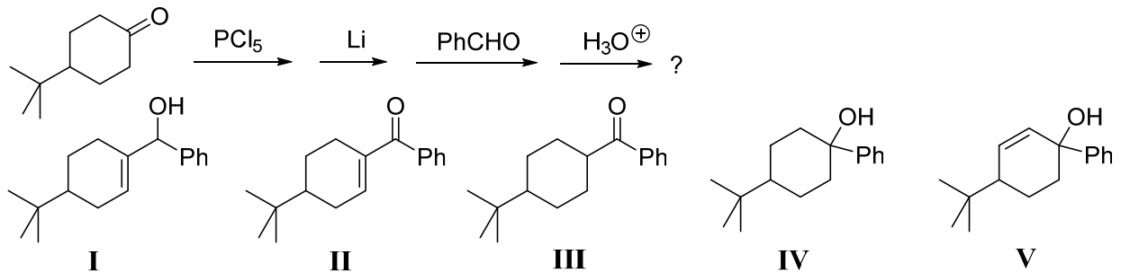
2
CH
2
Cl reacts with 0.10 mol of NaOCH3 in CH3OH at 40 °C ? (A) CH
3
OCH
2
CH
2
CH
2
CH
2
C
l
(B) CH
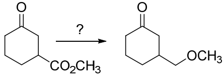
3
OCH
2
CH
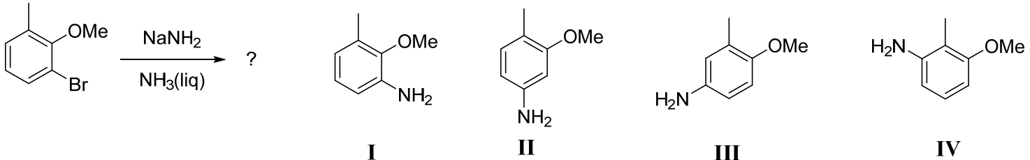
2
CH
2
CH
2
I (C) CH
3
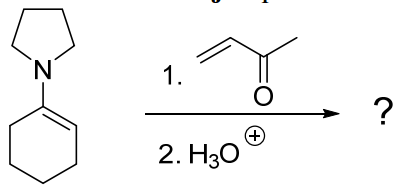
OCH
2
CH
2
CH
2
CH
2
OCH
3
(D) CH
2
=CHCH
2
CH
2
Cl (E) CH
2
=CHCH
2
CH
2
I
8. Which of the following is a meso compound?
(A) I and III (B) II and IV (C) I and IV (D) II and III (E) I, IV and V
9. Which cycloalkane has the lowest heat of combustion per CH
2
group? (A) Cyclopropane (B) Cyclobutane (C) Cyclopentane (D) Cyclohexane (E) Cycloheptane
10. How many alkanes of formula C
7
H
16
possess a quaternary carbon atom? (A) 1 (B) 2 (C) 3 (D) 4 (E) 5
11. The graph below is a plot of the relative energies of the various conformations, please predict the expected item?
(A) 2-Chloropropane (B) 1,3-Dichloropropane (C) 2-Methylpropane (D) Butane (C1-C2 rotation) (E) Butane (C2-C3 rotation)
12. Chorismate mutase is an enzyme that catalyzes a pericyclic reaction that forms prephenate. What kind of a pericyclic reaction does chorismate mutase catalyze?
(A) an ene reaction (B) an electrocyclic reaction (C) a sigmatropic rearrangement (D) a cycloaddition reaction (E) None of the above
13. The C7 compound which gives 3 signals in the broadband proton-decoupled 13C spectrum could be: (A) Heptane (B) 2-Methylhexane (C) 3,3-Dimethylpentane (D) 2,4-Dimethylpentane (E) 2,2,3-Trimethylbutane
14. Select the structure of a compound C6H14 with a base peak at m/z 43. (A) CH
3
CH
2
CH
2
CH
2
CH
2
CH
3
(B) (CH
3
CH
2
)
2
CHCH
3
(C) (CH
3
)
3
CCH
2
CH
3
(D) (CH
3
)
2
CHCH(CH
3
)
2
(E) None of the above
15. What is the correct assignment of the names of the functional groups in the following nitrogen-containing compounds?
(A) I = amide II = amine III = oxime (B) I = imine II = oxime III = hydrazone (C) I = amine II = oxime III = hydrazine (D) I = imine II = hydrazone III = amine (E) I = hydrazine II = hydrazone III = oxime
16. Which sequence ranks the following carbonyl compounds in order of increasing rate of nucleophilic addition?
(A) 2 < 3 < 1 (B) 3 < 2 < 1 (C) 2 < 1 < 3 (D) 1 < 3 < 2 (E) 1 < 2 < 3
17. When H
2
NCH
2
CH
2
CH
2
CH
2
COCH
3
is heated in the process of an acid catalyst, a reaction occurs. The major product is:
(A) I (B) II (C) III (D) IV (E) V
18. p-Methoxybenzaldehyde can be prepared from anisole using the Gatterman-Koch formylation. What mixture of reagents is necessary for this process? (A) CO, HCl, AlCl
3
, CuCl (B) CO, SO
3
, H
2
SO
4
(C) CO
2
, HCl, AlCl
3
(D) CO
2
, SO
3
, H
2
SO
4
(E) CO
2
, HNO
3
, H
2
SO
4
19. Which of the following carbonyl compounds may be made from 1,3-dithiane? I. Methyl vinyl ketone II. 2-Pentanone III. 3,3-Dimethyl-2-butanone IV. 2-Phenylethanal (A) I and IV (B) II only (C) II and III (D) II and IV (E) III and IV
20. Predict the compound from the spectral data given. C
9
H
10
O
2
:
13
C NMR, δ 18.06 (quartet), 45.40 (doublet), 127.32 (doublet), 127.55 (doublet), 128.61 (doublet), 139.70 (singlet), 180.98 (singlet); IR, broad 3500-2800, 1708 cm
-1
(A) 3-Phenylproponic acid (B) 2-Phenylproponic acid (C) 2-(4-Methylphenyl)acetic acid (D) 2-(3-Methylphenyl)acetic acid (E) 2-(2-Methylphenyl)acetic acid
21. Which of the following pairs of structures are not resonance forms of the same compounds? (A)
(B)
(C)
(D)
(E)
22. Which of the following Newman projection represents the most stable trans-1,2-dimethylcyclohexane? (A)
(B)
(C)
(D)
(E)
23. Which of the following structure represents (S)-L-alanine? (A)
(B)
(C)
(D)
(E)
24. Which of the following description(s) is(are) true for the following reaction?
I: the solution of the products is optically active II: the products have stereocenters III: the products are meso compounds IV: the products are racemic mixture V: the reaction is enantioselective (A) V only (B) I and II (C) III and IV (D) II and V (E) II and IV
25. Disulfide linkages in proteins come from between: (A) two methionine residues (B) two cysteine residues (C) a cysteine residue and a methionine residue (D) a threonine residue and a cysteine residue (E) a methionine residue and a threonine residue
26. Which of the following represents the HOMO for the conjugated system in Leukotriene B4?
(A)
(B)
(C)
(D)
(E)
27. Which of the following is the most stable conformation for cis-4-methyl-2-pentene? (A)
(B)
(C)
(D)
(E) All of the above
28. Which of the following acids has the lowest pKa value? (A)
(B)
(C)
(D)
(E)
29. Which compound would undergo SNAr reaction most rapidly with sodium methoxide? (A)
(B)
(C)
(D)
(E)
30. Which is the major product of the following reaction?
(A)
(B)
(C)
(D)
(E) None of the above
31. Provide the structure of the missing starting material to complete the reaction.
(A)
(B)
(C)
(D)
(E)
32. Which is the major product of the following reaction?
(A)
(B)
(C)
(D)
(E)
33. Provide the structure of the missing starting material to complete the reaction.
(A)
(B)
(C)
(D)
(E)
34. If one gauche interaction is 0.9 kcal/mol, what is the energy difference between cis-decalin and trans-decalin?
(A) 0.9 kcal/mol (B) 1.8 kcal/mol (C) 2.7 kcal/mol (D) 3.6 kcal/mol (E) 4.5 kcal/mol
35. Which is the major product of the following reaction?
(A)
(B)
(C)
(D)
(E)
36. Which is the major product of the following reaction?
(A)
(B)
(C)
(D)
(E)
37. Provide the reagents to accomplish the synthesis shown below.
(A) 1. Br
2
, FeBr
3
2. Mg, THF
(B)
(C) 1. Br
2
, FeBr
3
2. Mg, THF 3.
(D) 1. Br
2
, hv 2. NaCN 3.
(E) 1. Br
2
, hv 2. Mg, THF 3.
38. Which is the major product of the following reaction sequence? 2. NaIO4 PPh3 Ph Br + n-BuLi THF ?
(A)
(B)
(C)
(D)
(E)
39. Which is the major product of the following reaction?
(A)
(B)
(C)
(D)
(E)
40. The following products were obtained from the oxidative cleavage of a diene. What is the structure of the diene?
(A)
(B)
(C)
(D)
(E)
41. Which of the following reactions would give a tertiary alcohol as a product? (A)
(B)
(C)
(D)
(E)
42. Which is the major product of the following reaction?
(A)
(B)
(C)
(D)
(E)
43. Which is the major product of the following reaction?
(A)
(B)
(C)
(D)
(E)
44. How to convert bromocyclohexane to trans-cyclohexane-1,2-diol? (A) 1. H
2
SO
4
, heat 2. MCPBA, then H
3
O
(B) 1. H
2
SO
4
, heat 2. KMnO
4
, HO
(C) 1. NaOCH
3
2. O
3
then Me
2
S (D) 1. t-BuOK 2. MCPBA, then H
3
O
(E) 1. NaOCH
3
2. H
2
, Pd/C
45. Which is the major product of the following reaction?
(A) I and II (B) I and III (C) II and III (D) I and IV (E) II and IV
46. Which of the following statement(s) is(are) true for the following reaction?
I. This reaction shows high (Z)-alkene selectivity. II. When n-BuLi and Et2O were used as the base and solvent, the selectivity decreases. III. This reaction is under kinetic-controlled. (A) I (B) II (C) III (D) I and III (E) All of the above
47. Which is the major product of the following reaction?
(A) I (B) II (C) III (D) IV (E) V
48. Which is the major product of the following reaction?
(A) I (B) II (C) III (D) IV (E) V
49. Which of the following synthetic procedures would be employed most effectively to transform ethanol into ethyl propyl ether? (A) 1. Ethanol, HBr 2. Mg, ether, then H
3
O
3. NaH, then CH
3
CH
2
Br (B) 1. Ethanol, HBr 2. Mg, ether, then HCHO, then H
3
O
3. NaH, then CH
3
CH
2
Br (C) 1. Ethanol 2. CH
3
CH
2
CH
2
OH 3. H
2
SO
4
, 140 °C (D) 1. Ethanol, NaH 2. HCHO, then H
3
O
3. HBr, then Mg, ether, then CH
3
CH
2
CH
2
Br (E) 1. Ethanol 2. H
2
SO
4
, 180 °C 3. CH
3
CH
2
CH
2
Br
50. Which is the major product of the following reaction?
(A) I (B) II (C) III (D) IV (E) V
51. Which is the major product of the following reaction?
(A) I (B) II (C) III (D) IV (E) V
52. What is the major product of the following reaction?
(A) I (B) II (C) III (D) IV (E) V
53. What is the major product of the following reaction?
(A)
(B)
(C)
(D)
(E)
54. Which reagent is most suitable for the following transformation?
(A) CuF (B) F-TEDA-BF
4
(C) AgSbF
6
(D) HBF
4
(E) n-Bu
4
NF
55. What is the major product of the following reaction?
(A)
(B)
(C)
(D)
(E) None of the above
56. What is the major product of the following reaction?
(A) I (B) II (C) III (D) IV (E) V
57. What is the major product of the following reaction?
(A)
(B)
(C)
(D)
(E) None of the above
58. Which of the following reactions is most likely to give optically active products? (A)
(B)
(C)
(D)
(E)
59. What reagent(s) can be used for the following transformation?
(A) I (B) II (C) III (D) IV (E) II and III
60. What reagent(s) can be used for the following transformation?
(A) I (B) II (C) III (D) I and II (E) I and III
61. What sequence of reagents is needed to convert t-butylbenzene into 1-bromo-2-(t-butyl)benzene? I. Dilute H
2
SO
4
, heat II. NaNO
2
, HCl III. Br
2
, FeBr
3
, heat IV. Fuming H
2
SO
4
, heat V. HBr, CuBr, heat (A) IV → II → V (B) I → III → II (C) II → III → V (D) III → V → I (E) IV → III → I
62. Determine the most likely structure for a compound (C6H10O) which is found to decolorize bromine in carbon tetrachloride. Its spectral data is as follows:
(A) I (B) II (C) III (D) IV (E) V
63. What is the major product of the following reaction?
(A)
(B)
(C)
(D)
(E)
64. What is the major product of the following reaction?
(A)
(B)
(C) (D)
(E)
65. What is the major product of the following reactions?
(A)
(B)
(C)
(D)
(E)
66. What is the major product of the following reactions?
(A) I (B) II (C) III (D) IV (E) V
67. Which reaction sequence is required to accomplish the following transformation?
(A) 1. LiAlH
4
2. H
3
O
3. NaH, then CH
3
I (B) 1. H
2
NNH
2
, KOH, 120 °C 2. H
2
, Pd/C 3. NaH, then CH
3
I (C) 1. HOCH
2
CH
2
OH, H
3
O
2. LiAlH
4
3. NaH, then CH
3
I, then H
3
O
(D) 1. HOCH
2
CH
2
OH, H
3
O
2. H
2
NNH
2
, KOH, 120 °C 3. H
2
, Pd/C, H
3
O
(E) 1. NaNH
2
, CH
3
I 2. LiAlH
4
3. H
2
, Pd/C, H
3
O
68. Which reaction sequence is required to accomplish the following transformation? O O ?
I. heat II. NaOH, heat, then HCl, H
2
O III. NaOH IV. CH
3
COCH
2
CO
2
Et, EtONa (A) I → II → III → IV (B) IV → II → I → III (C) III → VI → II → I (D) II → IV → III → I (E) None of the above
69. Which one of the following reactions would give the product as it is planned? (A)
(B)
(C)
(D)
(E)
70. What is the major product of the following reaction?
(A) I (B) II (C) III (D) IV (E) V
71. What is the major product of the following reaction?
(A) I
(B) II (C) III (D) IV (E) V
72. What is the major product of the following reaction?
(A)
(B)
(C)
(D)
(E) None of the above
73. Which of the following series of synthetic steps could be used to carry out the transformation shown below?
I. H
2
, Pt/C II. B
2
H
6
III. NaNO
2
, H
3
O
IV. CH
3
NO
2
, KOH V. H
2
O
2
, NaOH VI. PCC (A) I → II → V (B) IV → I → III (C) III → VI → V (D) II → V → III (E) None of the above
74. What is the major product of the following reaction?
(A)
(B)
(C)
(D)
(E) None of the above
75. What is the major product of the following reaction?
(A)
(B)
(C)
(D)
(E) None of the above
76. What is the major product of the following reaction?
(A)
(B)
(C)
(D)
(E) None of the above
77. How to prepare aspirin from phenol?
(A) 1. NaOH, CO
2
2. H
3
O
3. Ac
2
O (B) 1. CH
3
COCl, AlCl
3
2. NaNO
2
, then H
3
PO
2
3. H
3
O
(C) 1. Ac
2
O 2. H
3
O
3. NaOH, CO
2
(D) 1. HNO
3
, H
2
SO
4
2. Fe, HCl 3. CH
3
COCl, AlCl
3
(E) 1. Ac
2
O 2. NaOH 3. CO
2
, then H
3
O
78. What is the major product of the following reaction?
(A)
(B)
(C)
(D)
(E)
79. 7-Dehydrocholesterol, a steroid found in skin, is converted into vitamin D3 by two pericyclic reactions. What are these two reactions?
(A) 1. an electrocyclic reaction 2. an ene reaction (B) 1. a [1,7] sigmatropic rearrangement 2. an electrocyclic reaction (C) 1. an electrocyclic reaction 2. a [1,7] sigmatropic rearrangement (D) 1. an ene reaction 2. an electrocyclic reaction (E) 1. an ene reaction 2. a [1,7] sigmatropic rearrangement
80. What is the major product of the following reaction?
(A)
(B)
(C)
(D)
(E) None of the above
申論題 (0)
相關試卷
105年 - 105 學士後西醫:有機化學#78642
105年 · #78642
103年 - 103 學士後西醫:有機化學#27037
103年 · #27037
102年 - 102 學士後西醫:有機化學#27324
102年 · #27324
101年 - 101 學士後西醫:有機化學#27197
101年 · #27197
100年 - 100 學士後西醫:有機化學#35480
100年 · #35480
98年 - 098 學士後西醫:有機化學#37156
98年 · #37156
96年 - 96學士後西醫-有機化學 #37201
96年 · #37201