所屬科目:港務局◆電力系統與電路學
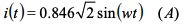
3. 一個串聯 RLC 電路,R=40Ω、電感電抗 XL=60Ω、電容電抗 XC=30Ω,當電源電壓為時,求其流出的穩態電流函數i(t)為何? (A) (B) (C) (D)
4. 關於正相序之電源,其三相平衡電路負載採 Y 接法時,下列哪一個有錯? (A) 負載端線電流大小等於相電流大小 (B) 負載端線電壓大小等於 倍相電壓大小 (C) 負載端線電流相位與相電流相位相同 (D) 負載端線電壓相位落後相電壓相位 30 度
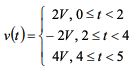
7. 一個電壓訊號為,週期為 5 秒,試計算此訊號之有效值為何? (A) 0.8V (B) 1.6V (C) 2.53V (D) 4V
8. 考慮一個 RLC 電路,其中電壓電流如下: ,功率因數(PF)為何? (A) 0.866 (超前) (B) 0.866 (落後) (C) 0.5 (超前) (D) 0.5 (落後)