所屬科目:研究所、轉學考(插大)◆電磁學
1 A=(-1,2,0), B=(-1,0,3). Please calculate the |A×B| (A)7 (B)10 (C)4 (D)5 (E)1
2 V=(x²,3xz²,-2xz). Please calculate the ∇·V at the point (1,1,2) (A)0 (B)3 (C)10 (D)9 (E)-3
3 (3x²-2x-1)δ(x-3)dx (A)0 (B)10 (C)15 (D)20 (E)-10
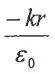
4 Suppose the electric field in some region is found to be E=kr³r̂, in spherical coordinates (k is a constant). Find the charge density ρ (A)ε₀kr² (B)2ε₀kr² (C)3ε₀kr² (D)4ε₀kr² (E)5ε₀kr²
5 Which one of the electrostatic field is possible (A)(xy, yz, 3zx) (B)(y², 2xy+x², 2yz) (C)(2xy, -2yx, 3zx) (D)(3x, y, 2z²) (E)(xz, 3y, yz)
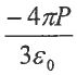
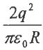
6 Find the energy of a uniformly charged spherical shell of total charge q and radius R (A) (B) (C) (D) (E)
7 Find the electric field produced by a uniformly polarized (P) sphere of radius R (A) (B) (C) (D) (E)
8 A sphere of radius R carries a polarization P(r)=kr, k is a constant and r is the vector from the center. Calculate the bound volume charge density (A)k (B)-k (C)3k (D)-3k (E)0
9 A sphere of radius R carries a polarization P(r)=kr, k is a constant and r is the vector from the center. Calculate the electric field at r<R (A) (B) (C) (D) (E)0
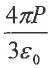
10 A capacitor is filled with linear dielectric, and the capacitance is C. The voltage difference is V. Calculate the charge energy (A) (B) (C)CV² (D)(E)0
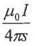
11 Find the magnetic field a distance s from a long straight wire carrying a steady current I (A)0 (B) (C) (D) (E)
12 An infinitely long cylinder, of radius R, caries a frozen-in magnetization, parallel to the axis, M=ksẑ, where k is a constant and s is the distance from the axis; there is no free current anywhere. Find the magnetic field inside the cylinder (A)0 (B)μ₀ks (C)2πμ₀ks (D)2μ₀ks (E)4πμ₀ks
13 An infinitely long cylinder, of radius R, caries a frozen-in magnetization, parallel to the axis, M=ksẑ, where k is a constant and s is the distance from the axis; there is no free current anywhere. Find the magnetic field outside the cylinder (A)0 (B)μ₀ks (C)2πμ₀ks (D)2μ₀ks (E)4πμ₀ks
14 A capacitor C has been charged up to potential V; at time t=0, it is connected to a resistor R, and begin to discharge. What is the discharge time constant (A)R/C (B)C/R (C)RC (D)1/RC (E)3RC
15 A battery of emf V and internal resistance r is hooked up to a variable load resistance R. If you want to deliver the maximum possible power to the load, what resistance R should you choose? (A)r (B)r/2 (C)1/r (D)2/r (E)2r
16 A capacitor C is charge up to a voltage V and connected to an inductor L in series. What is the discharge time constant? (A)LC (B) (C) (D) (E)
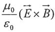
17 The electromagnetic wave velocity in vacuum is (A)μ₀ε₀ (B) (C) (D) (E)με
18 The energy per unit time, per unit area, transported by the electromagnetic field is (A) (B) (C)(D) (E)
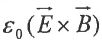
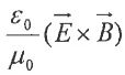
19 The momentum per unit time, per unit area, transported by the electromagnetic field is (A)(B)(C) (D) (E)
20 Electromagnetic wave in vacuum, the electric field is E, magnetic field is B, and the speed is C. Which one is correct? (A)E=B (B)E=CB (C)CE=B (D)C²E=B (E)E=C²B