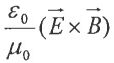
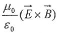
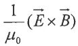
18 The energy per unit time, per unit area, transported by the electromagnetic field is
(A)
(B)
(C)
(D)
(E)
答案:登入後查看
統計: 尚無統計資料
統計: 尚無統計資料
18 The energy per unit time, per unit area, transported by the electromagnetic field is
(A)
(B)
(C)
(D)
(E)