所屬科目:冷凍空調自動控制、熱工學
2.冷氣機的性能常用能源效率比值(Energy Efficiency Ratio, EER )說明節能,EER 越高越節能,而 1EER 又等於多少冷凍性能係數(Coefficient of Performance, COPR Watt Watt )? (A) 2.012 (B) 3.412 (C) 4.012 (D) 5.412
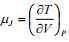
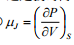
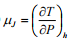
4. Joule-Thomson Coefficient(焦爾-湯姆森係數)之定義為何? (A) ,等壓膨脹過程 (B) ,等容膨脹過程 (C) ,等焓膨脹過程 (D) ,等溫膨脹過程
5.在大氣之濕空氣中,水蒸汽的質量與乾空氣的質量之比值定義為: (A)顯熱比, SHF = (B)相對濕度, (C)濕空氣比容, (D)濕度比,
11.封閉系統(Closed System),因與外界無質量交互作用,藉由體積的膨脹和收縮而對外作功。若是系統運 作過程中是理想氣體之等溫過程,則系統對外輸出功計算為: (A) (B) (C) (D)
14.當有一基本函數關係為 u(t)= ,此函數可定義為: (A)單位拋物線函數(Unit parabolic function) (B)單位步階函數(Unit step function) (C)單位斜坡函數(Unit ramp function) (D)單位脈衝函數(Unit impulse function)
15.磁場控制直流馬達(Field Controlled DC Motor)的特色是電樞電流固定,因此可以假設馬達系統的開路轉 移函數為,其中有 τf 為場電路的時間常數, τm 為機械元件的時間常數,還有一個重 要常數 Km 為: (A)誤差常數 (B)積分控制器常數 (C) PID 控制器常數 (D)馬達增益常數
24.【圖 24】所示為具彈簧復歸的氣動式二通控制閥,下列敘述何者正確? (A) (a)為常開式,(b)為常閉式,(c)為常開式 (B) (a)為常閉式,(b)為常開式,(c)為常開式 (C) (a)為常開式,(b)為常閉式,(c)為常閉式 (D) (a)為常閉式,(b)為常開式,(c)為常閉式
28.有關【圖 28】三種控制閥之特性,下列敘述何者正確?
(A) A 為急開、B 為線性、C 為等百分率 (B) A 為等百分率、B 為線性、C 為急開 (C) A 為急開、B 為等百分率、C 為線性 (D) A 為線性、B 為急開、C 為等百分率
30.控制動作可分為二位置或開關動作、時間二位置動作、浮動動作或調變動作等,【圖 30】為何種控制 動作?
(A)二位置或開關動作 (B)時間二位置動作 (C)浮動動作或調變動作 (D)以上皆非
45.冷凍機系統主要是系統輸入作功時,由低溫環境中吸取熱(QL),然後經過系統運作後由高溫環境排熱 (QH),來提供某室內空間冷卻使用,則冷凍機性能係數 COPR公式如何計算? (A) (B) (C) (D)