所屬科目:壽險數學
5.= ? (A) 0.327 (B) 0.550 (C) 0.585 (D) 0.673
9. 若利率為 5%,則 = ? (A) 2.490~2.515 (B) 2.650~2.755 (C) 2.810~2.895 (D) 2.905~3.015
25. = ? (A) (B) (C) (D)
30. 10,000x = ? (A) 14萬~15萬 (B) 15.5萬~17萬 (C) 17.5萬~19萬 (D) 19.2萬~20萬
33. 下列正確的有幾項? (A) 三項 (B) 二項 (C) 一項 (D) 皆不正確
34. 下列正確的有幾項? (A) 三項 (B) 二項 (C) 一項 (D) 皆不正確
35. 請比較下列精算符號大小:
(A) (B) (C) (D)
36. 下列正確的有幾項?(A) 四項 (B) 三項 (C) 二項 (D) 一項
37. 請比較下列精算符號大小: ? (A) (B) (C) (D)
44. 若年繳純保費為 P ,且附加費用率為 30%,則年繳總保費為多少? (A) 1.3 P (B) P+30% (C) Px1.3 (D)
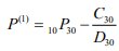
46. 保險公司發行 10 年繳費終身壽險,並採 FPT 修正制準備金。若某甲於 30 歲 時購買此保險,請問P (1) = ? (A) P(1) = 0 (B) (C) (D)
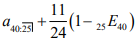
50. 已知 i = 5%, = ? (A) 6.786 (B) 9.094 (C) 9.549 (D) 10.027