所屬科目:壽險數學
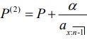
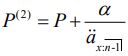
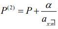
21. x 歲之人投保 n 年期生死合險之年繳純保費為 P ,在全期式 Zillmer 式修正制下,假設扣除額為 α,則 = ? (A)(B)(C)(D)
28. 下列等式正確的有幾項? (A) 一項 (B) 兩項 (C) 三項 (D) 四項
29. =? (A)(B)(C)(D)
30.=? (A)(B)(C)(D)
31. 某甲投保一年金商品,躉繳純保費為,則甲領到的第一筆生存給付金額為多少錢? (A) 10 元 (B) 500 元 (C) 5000 元 (D) 10000 元
32. =? (A)(B)(C)(D)
33. 已知檢選期間為 2 年,下列排序何者正確? (A)(B)(C)(D)
35. 某甲向銀行申請房屋貸款 200 萬,房貸利率為 i,分 20 年償還,則每年償還金額為多少錢? (A) 10 萬x (1+i ) (B) 200 萬 (C) 200 萬 (D) 200 萬
36. 已知年實利率 i=5%,則=? (A)(B)(C)(D)
37. 已知= 6% ,現在存 1000 元,10 年後累積得到 Y 元,則 Y 為多少錢? (A) Y <1600 (B) 1600≤Y<1700 (C) 1700≤Y<1800(D) 1800≤Y
38.2p58 =? (A)(B)(C)(D)
39. =? (A)(B)(C)(D)
40. 7q50 =? (A) 7q50 <0.300 (B)0.300≤7q50 <0.400(C)0.400≤ 7q50<0.500(D)0.500 ≤ 7q50
41. 若 i=6%,則=? (A)(B)(C)(D)
43. 25萬x=? (A) 小於 20,000 (B) 20,001~25,000 (C) 25,001~30,000 (D) 大於 30,001
44.5000 x =? (A) 小於 35,000 (B) 35,001~37,500 (C) 37,501~40,000 (D) 大於 40,001