所屬科目:高中◆資優◆數學
1. 如下圖,E、F 分別是 的中點,H、G 在 上。若 EFGH 為 E F 長方形,且∆ABC 的面積為 12,求長方形 EFGH 的面積為______ 。
3. 如下圖所示,某工程怪手施作時挖破了一段圓形下水道管道,施工單 位準備更換這段新管道,修理人員到現場勘查測量後,得知污水水面 寬 180 公分、水深 30 公分,水管厚度 5 公分,則修理人員應準備半徑 為______公分(含水管厚度)的圓形管道。
5. 如下圖,弧 是以 為直徑的半圓,D、E 在 上,C、F 在 上。若正方形 CDEF 的邊長為 1,求 的值為______。
6. 求 … 的值為______。
7. 如下圖,在平行四邊形 ABCD 中,E、F 分別是 的中點。若∆DEF D 的面積為 12,求平行四邊形 ABCD 的面積為______。
9. 如下圖,A、B、D、C、E 為圓上相異五個點, , =25 , =20,求 的長度為______。
10.一個數列如下: ,…, 求這個數列的第 105 個數為______。
11.如下圖,∆AEI 中,B、C、D 等分 ,F、G、H 等分 ,L、K、J 等分, , , 。請問:下圖中共有______個平行四邊形。
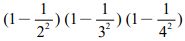
13.設 n 為正整數,滿足 < √100 − √99 < 的 n 值為______。
15.設兩正整數 x、y,且 x≧y>6,若 x+y、x-y、xy、 四個數的總和為 2016,試求 x 的值為 ______。 y
17.設 x、y、z、w 為四個非負整數,試求滿足方程組 的最小的 x 值為 ______。
18.已知 x、y、 五個數均為正整數,且 =36,求 x 值為______。