所屬科目:四技二專統測◆數學A
1. 設 A(a ,1) 與B(0 , - 2) 為坐標平面上的兩點,若 = 5 且 a > 0 ,則 a 之值為何?(A)1(B)2(C)3(D)4
2. 坐標平面上兩點 A(1,1) 與 B(-3, 9) ,則 的垂直平分線方程式為何? (A) 2x + y -3 = 0 (B) x - 2y +11= 0 (C) 2x + y +3 = 0 (D) x - 2y -11= 0
3. 設標準位置角θ =10° ,則下列何者正確? (A) 100° 跟 θ 在同一象限內 (B) 100° 是 θ的一個同界角 (C)θ 為弧度 (D) 圓心角為 θ 且半徑為1的扇形之弧長為10
4. (A) (B) (C) (D)
5. 若已知 sinθ > 0 且 tanθ < 0 ,則點 (cosθ , cotθ ) 落在第幾象限? (A) 第一象限 (B) 第二象限 (C) 第三象限 (D) 第四象限
6. 設之最大值為 M 且最小值為 m ,則 M + m = ? (A) 9 (B) 10 (C) 11 (D) 12
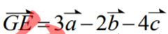
7. 設 為平面向量,D、E、F、G 為坐標平面上的四個點,若 =, = 3, = - ,則下列何者恆正確? (A) (B) (C) (D)
8. 已知平面上兩向量 = (1, 2) 與 = (3, 4) ,且 與 的夾角為 θ ,則下列何者正確? (A) θ 為銳角 (B) θ 為直角 (C) θ 為鈍角 (D) θ 為平角
9. 設,令 q(x)、r(x) 分別為 f (x) ÷ g(x) 的商式與餘式 ,則 2q(x) -r(x) = ? (A) -3x +1 (B) - 2x +1 (C) 2x -1 (D) 3x -1
10. 已知兩多項式 p(x) 與 q(x) 除以 2x -1 的餘式分別為1與-1 ,則多項式 除以的餘式為何? (A) 1 (B) 2 (C) 16 (D) 2016
11. 設 a 為一實數。若已知方程式 有一解為-1 ,另外兩解分別為 α 、 β ,則 α + β = ? (A) (B) (C) (D)
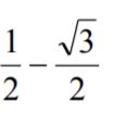
12. 之值為何? (A) 1 (B) 3 (C) 9 (D) 243
13. 設 a > 0 、b > 0 且 a≠ 1 。若 ,則 a + 2b + 3c = ? (A) - 6 (B) - 2 (C) 2 (D) 6
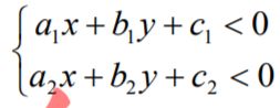
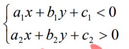
14. 已知 a1 > 0,a2 > 0 ,設坐標平面上兩相異直線 L1 : a1 x +b1 y +c1 = 0、L2 : a2 x + b2 y + c2 = 0 的圖形,與點的位置如下圖所示,則點 位於下列哪一個聯立不等式解 的範圍內? (A) (B) (C) (D)
15. 若二元一次聯立不等式,在坐標平面圍成的封閉區域為 T ,且 T 的面積為 , 則 a 之值為何? (A) 1 (B) 2 (C) 3 (D) 4
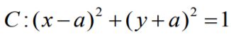
17. 已知平面上有一圓。若直線 L : 3x + 4y +1 = 0 與圓 C 相交於 A 與 B 兩點,且 恰為圓 C 的直徑,則 a 之值為何? (A) (B) (C) (D) 1
21. 已知 A 診所內有 10 個座位,編號為 1 到 10,某日有 12 位病患同時看診,其中有 5 位老人 ,3位兒童以及4位成人。若A診所安排老人坐編號前5個位置,兒童坐編號6、7、8位置 ,編號9和10位置各安排坐一位成人,則共有幾種安排方式? (A) (B) (C) 10! (D)10! ✖
22. 設一個隨機實驗的樣本空間S中有500個樣本點,每一個樣本點出現的機會均相等,已知 事件 A 中有 135 個樣本點,事件 B 中有 245 個樣本點。若事件 A B 中有 300 個樣本點時 ,則發生事件 A B 的機率為多少? (A) 0.16 (B) 0.22 (C) 0.38 (D) 0.6
23. 已知某病患藥袋中,有 5 包白包,4 包黃包以及 3 包紅包。若任意從藥袋中一次取 3 包, 每包被取出的機率相同,則取到的3包中至少有兩包是黃包的機率為何? (A) (B) (C) (D)