所屬科目:研究所、轉學考(插大)-微積分
(a)∫x2exdx(10%)
(b) (10%)
(c) (15%)
(d) ∫ ∫ D x+ 2y dA, where D is the region bounded by the parabolas y = 2x2 and y= 1 + x2.(15%)
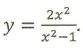
2. Please sketch the curve (You must describe the domain, intercepts, symmetry, asymptotes, interval of increasing or decreasing, local maximum and minimum values, and concavity and points of inflection.) (15%)
3. If f(x,y)=f(x,y) exists? Why?(10%)
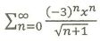
5. Find the radius of convergence and interval of convergence of the series.(15%)