所屬科目:研究所、轉學考(插大)-微積分
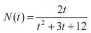
1. After t weeks, a factory is producing N(t) thousand computers, where At what rate is the production level changing after 4 weeks? Is production increasing or decreasing at this time? Explain your answer. (10 points)
c. (5 points)
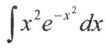
6. Find the Taylor series about x = 0 for the indefinite integral
(10 points)