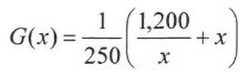
4. A company uses a truck to deliver its products. To estimate costs, the manager models gas consumption by the function 
gal/mile, assuming that the truck is driven at a constant speed of x miles per hour, for x ≥ 5. The driver is paid $20 per hour to drive the truck 250 miles, and gasoline costs $4 per gallon.