阿摩線上測驗
登入
首頁
>
鋼筋混凝土學與設計
> 105年 - 105 鐵路特種考試_高員三級_土木工程:鋼筋混凝土學與設計#53449
105年 - 105 鐵路特種考試_高員三級_土木工程:鋼筋混凝土學與設計#53449
科目:
鋼筋混凝土學與設計 |
年份:
105年 |
選擇題數:
0 |
申論題數:
4
試卷資訊
所屬科目:
鋼筋混凝土學與設計
選擇題 (0)
申論題 (4)
【已刪除】一、圖示為鋼筋混凝土簡支梁之矩形斷面,梁之跨度為 8 m。此梁承受使用均佈靜載 重 2.5 tf/m(含自重)與活載重 2.5 tf/m。梁配置拉力鋼筋 2-D22 與 4-D29。混凝 土 f'
c
=280 kgf/cm
2
,彎矩鋼筋 f
y
=4200 kgf/cm
2
。鋼筋保護層及間距均符合規範規 定。試檢核彎矩配筋是否符合彎矩需求與規範之規定。(25 分)
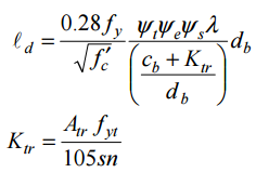
【已刪除】二、同前題,梁配置 D13 矩形垂直肋筋。D13 肋筋f
yt
=2800 kgf/cm2 。試計算於臨界斷 面處最經濟的肋筋間距。(25 分) 參考公式:
【已刪除】三、圖示為矩形鋼筋混凝土梁斷面,此梁斷面承受設計彎矩 M
u
=48 tf-m,配置 5-D29 拉 力鋼筋(未塗布鋼筋)。梁斷面配置矩形垂直肋筋 D13,間距為 15 cm。鋼筋保護層 為規範規定之最小值。常重混凝土f'
c
=280 kgf/cm
2
,彎矩鋼筋 f
y
=4200 kgf/cm
2
, 肋筋 f
yt
=2800 kgf/cm2 。試計算 D29 鋼筋最經濟的搭接長度。(25 分) 參考公式:
【已刪除】四、圖示橫箍柱斷面採4-D25 鋼筋,此柱斷面承受軸壓力與單軸彎矩。混凝土 f'
c
=350 kgf/cm
2
, 鋼筋強度 f
y
=4200 kgf/cm
2
。假設破壞時,中性軸位於柱外 15 cm。試求此斷面所對應 的軸力計算強度 P
n
與彎矩計算強度 M
n
。(25 分)
相關試卷
114年 - 114 地方政府公務、離島地區公務特種考試_三等_土木工程:鋼筋混凝土學與設計#134753
114年 · #134753
114年 - 114 高等考試_三級_土木工程:鋼筋混凝土學與設計#128726
114年 · #128726
113年 - 113-2 國營臺灣鐵路股份有限公司_從業人員甄試試題_第9階-技術員-土木工程:鋼筋混凝土學與設計概要#137156
113年 · #137156
113年 - 113 國營臺灣鐵路股份有限公司_從業人員甄試_第8階-助理工程師-土木工程:鋼筋混凝土學與設計#137104
113年 · #137104
113年 - 113-2 國營臺灣鐵路股份有限公司_從業人員甄試_第8階-助理工程師-土木工程:鋼筋混凝土學與設計#137090
113年 · #137090
113年 - 113-2 國營臺灣鐵路股份有限公司_從業人員甄試_第 9 階-技術員-土木工程:鋼筋混凝土學與設計概要#135450
113年 · #135450
113年 - 113 地方政府公務、離島地區公務特種考試_三等_土木工程:鋼筋混凝土學與設計#124342
113年 · #124342
113年 - 113 高等考試_三級_土木工程:鋼筋混凝土學與設計#121483
113年 · #121483
113年 - 113 國營臺灣鐵路股份有限公司_從業人員甄試_第 9 階-技術員-土木工程:鋼筋混凝土學與設計概要#119089
113年 · #119089
112年 - 112 地方政府特種考試_三等_土木工程:鋼筋混凝土學與設計#118382
112年 · #118382