所屬科目:研究所、轉學考(插大)-微積分
(a)
(b)
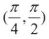
2. Find an equation of the tangent line to the graph of x sin 2y = y cos 2x at the point .
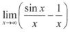
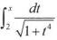
4. Let f(x) =. Find .
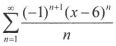
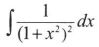
5. Consider the function given by f(x) =. Find the interval of convergence for f(x).
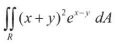
7. Evaluate the double integral where R is the square with vertices (0,1), (1,0), (2,1), (1,2).