阿摩線上測驗
登入
首頁
>
研究所、轉學考(插大)-微積分
>
105年 - 105 國立臺灣師範大學_轉學生招生考試試題_地球科學系二年級:微積分#120215
> 申論題
題組內容
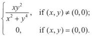
8. Let f(x) =
(a) Compute fx(0,0) and fy(0,0).
相關申論題
(a)
#511861
(b)
#511862
2. Find an equation of the tangent line to the graph of x sin 2y = y cos 2x at the point .
#511863
(a)
#511864
(b)
#511865
4. Let f(x) =. Find .
#511866
5. Consider the function given by f(x) =. Find the interval of convergence for f(x).
#511867
6. Find all local maxima, local minima, and saddle points of the function f(x, y) = 2x3+ 3xy + 2y3.
#511868
7. Evaluate the double integral where R is the square with vertices (0,1), (1,0), (2,1), (1,2).
#511869
(b) Show that f is not continuous at (0,0).
#511871
相關試卷
114年 - 114 臺灣綜合大學系統_學士班轉學生考試試題:微積分A#137897
114年 · #137897
114年 - 114 臺灣綜合大學系統_學士班轉學生考試試題:微積分B#137819
114年 · #137819
114年 - 114 台灣聯合大學系統_學士班轉學生考試試題:微積分#137762
114年 · #137762
114年 - 114 台灣聯合大學系統_學士班轉學生考試試題:微積分#137761
114年 · #137761
114年 - 114 國立臺灣大學_轉學生招生考試_物理學系/土木工程學系/生物環境系統工程學系/生物機電工程學系:微積分(B)#137745
114年 · #137745
114年 - 114 國立臺灣大學_轉學生招生考試_數學系:微積分(A)#137744
114年 · #137744
113年 - 113 國立嘉義大學_轉學生招生考試試題_(全校):微積分#122986
113年 · #122986
112年 - 112 國立臺灣大學_碩士班招生考試題:微積分(D)#130254
112年 · #130254
112年 - 112 國立陽明交通大學_碩士班入學招生試題_統計學研究所﹕微積分與線性代數#130252
112年 · #130252
112年 - 112 國立嘉義大學_轉學生招生考試試題:微積分#123297
112年 · #123297