所屬科目:壽險數學
12. x 歲投保萬能壽險保單,則第 t 保單年度之保險成本如何計算? (A) 淨危險保額(B) 淨危險保額 (C) 保險金額 (D) 保險金額
14. 利差紅利之一般計算方式為? (A) 保險金額 ✖ (分紅利率–預定利率) (B) 危險保額 ✖(分紅利率–預定利率) (C) 期中保單價值準備金✖ (保險公司實際投資報酬率–預定利率) (D) 法定責任準備金 ✖ (保險公司實際投資報酬率–預定利率)
23.? (A) 低於300,000元 (B) 300,001~500,000元 (C) 500,001~700,000元 (D) 高於700,001元
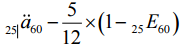
30. 已知年實利率 i = 5% ,則 = ? (A) 低於8 (B) 8.01~8.50 (C) 8.51~9.00 (D) 大於9.01
32. 已知檢選期間為四年,則下列正確的有幾項? (A) 一項 (B) 兩項 (C) 三項 (D) 四項
33.若附加費用率為 21%,且年繳純保費為 P ,則年繳總保費為多少? (A) (B) (C) (D)
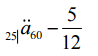
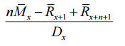
34.= ? (A) (B) (C) (D)
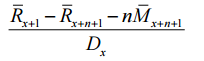
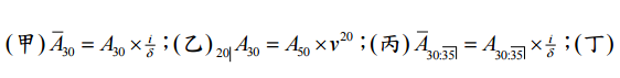
36. 下列何式錯誤? (A) (B) (C)(D)
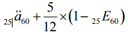
37. 下列正確的有幾項? (A) 一項 (B) 兩項 (C) 三項 (D) 四項
38. 比大小: 。 (A) (B) (C) (D)
39. 下列正確的有幾項? (A) 一項 (B) 兩項 (C) 三項 (D) 四項
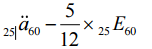
40. = ? (A) (B) (C)(D)
42. 四十歲購買二十年期生死合險(20 年繳費),若新契約費用為保額之 4%,收費費 用及維持費用每年皆為總保費之 3%及保額之 0.8%。請問年繳總保費為多少? (A) (B) (C) (D)
45. 下列關於修正制準備金之敘述何者錯誤? (A) 修正制準備金制度下, (B) 傳統終身壽險在回顧法下所計算之準備金等於預期法所計算之準備金 (C) Zillmer制的缺點為可能有負值準備金 (D) 修正制準備金下,只有第一年的修正制準備金會低於原本的平準制準備金
46. 五十歲投保 15 年期生死合險,若採「25 年滿期生死合險」修正制,已知第一 年之修正純保費為P (1) ,則 P(2) = ? (A) (B) (C)(D)
47. 若生存數為,則極限年齡為? (A) 109歲 (B) 110歲 (C) 111歲 (D) 男生為109歲、女生為111歲
48. 同 47 題,則= ? (A) 0.225 (B) 0.600 (C) 0.612 (D) 0.775
49. 存活機率 S(60) = ? (A) (B) (C) (D)