所屬科目:(甄試)警大◆交通工程(管制)
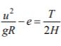
5. 就下列公式 所含變數,何者對於造成翻車事故,敏感度最高? (A)行駛速度 (B)轉彎半徑 (C)道路超高 (D)重心高度
23.就下列公式所含變數,防制翻車事故發生,經查機關可進行的交通執法項目為何? (A)超速行駛 (B)任意變換車道 (C)超高設計不足 (D)貨物裝載綑紮不牢 (E)引擎系統改裝
34.下列何者是「車道指示標誌」: (A) (B) (C) (D) (E)