所屬科目:研究所、轉學考(插大)-微積分
2. Evaluate
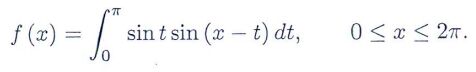
3. A function f is defined by Find the maximum value of f.
4. Find the solution of the differential equation that satisfes the initial condition y (1) = 0.
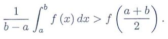
5. If f is concave upward on [a,b], show that
6. If ao + a1 + a2 +...+ = 0, show that
7. Find the minimum distance from the origin in to the surface z = 6xy + 7.
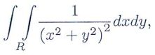
8. Evaluatewhere R is the plane region determined by the conditions x2 + y2≤1 and : x+y≥1.