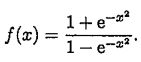
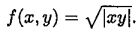
9. Consider the function f(x,y) =
. (A) f(x,y) is not continuous at (0,0), (B) f(x,y) is continuous at (0,0), but partial derivatives fa(0,0) and fy(0,0) do not exist. (C) Both partial derivatives fx(0,0) and fy(0,0) exist, but f(x,y) is not differentiable at (0,0). (D) f(x,y) is differentiable at (0,0).