所屬科目:研究所、轉學考(插大)-微積分
(a) y =
(b) y =
(b)
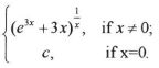
3. Find the value of c that makes the following function continuous at x = 0 f(x) =
4. Evaluate by using an appropriate Riemann sum.
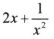
5. Sketch the graph of the function y = (包含截距,漸進線,極值,凹性,反曲點等).
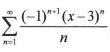
6. Consider the function given by f(x) = . Find the interval of convergence for f '(x).
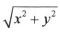
8. Find the volume of the solid bounded by the graphs of z = , z = 0 and x² + y² = 25.