所屬科目:研究所、轉學考(插大)-微積分
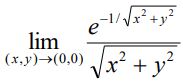
1. Find the value of the limit .(10%)
2. Evaluate the integral ∫ ex (2x+1) dx .(10%)
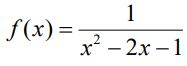
4. Find the Taylor series ofat x=1.(15%)
5. Evaluate ∫∫D xy2 ds where D is the triangle with vertices (0,0), (0,2) and (1,0). (15%)
(1)
(2)
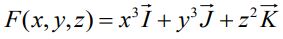
7. Find the outward flux of the vector field (8%) across the surface of the region that is enclosed by the circular cylinder x2+y2=9 and the planes z=0 and z=2 .