阿摩線上測驗 登入

申論題資訊

試卷:106年 - 108 國立高雄師範大學_轉學生招生考試試題_數學、光電與通訊工程、軟體工程與管理學系二年級:微積分#116311
科目:研究所、轉學考(插大)-微積分
年份:106年
排序:0

題組內容

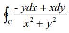
8. Evaluate the integral 64e86c14321c5.jpg(16%)
 if C is a piecewise smooth simple closed curve oriented counterclockwise such that

申論題內容

(b) C enclose the origin.