所屬科目:學士後◆化學
4. 下列哪一組為結構異構物? (A) I 和 IV (B) II 和 III (C) I、II 和 III (D) II、III 和 IV
5. 下列結構中何者為 trans-1-ethyl-3-isopropylcyclohexane? (A) I (B) II (C) III (D) IV
6. 下列何者是 2-methylbutane 最穩定的構型? (A) I (B) II (C) III (D) IV
7. 下列化合物的 IUPAC 命名為 (A) ( E )-2-ethyl-2-butene (B) ( Z )-3-methyl-3-pentene (C) ( E )-3-methyl-2-pentene (D) ( Z )-3-ethyl-2-butene
8. 下列何者代表 HBr 和 2-丁烯反應的能量圖形? (A) I (B) II (C) III (D) IV
9. 根據 Markovnikov’s 定律,HCl 和 1-methylcyclohexexe 進行加成反應時,Cl 原子將會加成 在哪個位置? (A) I (B) II (C) III (D) IV
10. 1-methylcyclohexexe 和硫酸水溶液反應的主要產物為 (A) I (B) II (C) III (D) IV
11. 丙烯和 HBr 反應可能的中間產物結構為 (A) I (B) II (C) III (D) IV
12. 下列何者在 Cl2/CCl4 的反應條件下不會產生二個立體異構物? (A) I (B) II (C) III (D) IV
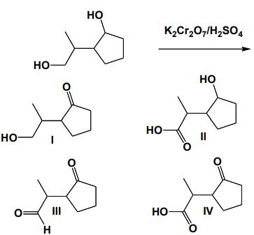
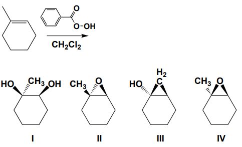
15. 請預測下列反應的主要產物 (A) I (B) II (C) III (D) IV
16. 請指出下列化合物 pKa 的大小順序 (A) I < II < III < IV (B) II < I < III < IV (C) I < III < IV < II (D) II < III < IV < I
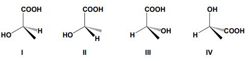
17. 下列化合物中何者具有掌性中心(chiral center)? (A) I、II (B) III、IV (C) I、III (D) II、IV
18. 下列何者為(R)-lactic acid? (A) I、II (B) III、IV (C) II、III (D) I、IV
22. 下列何者為 meso compound? (A) I、II (B) III、IV (C) I、III (D) II、IV
24. 下列反應產物為何? (A) I (B) II (C) III (D) IV
25. 請由強至弱排列出下列分子或離子的親和性大小 (A) I > II > III > IV (B) II > IV > III > I (C) III > IV > I > II (D) IV > II > III > I
26. 下列反應何者會進行 取代反應? (A) I (B) II (C) III (D) IV
27. 下列反應可能的最終產物為何? (A) I (B) II (C) III (D) IV
29. 下列反應方程式的主要產物為何? (A) I (B) II (C) III (D) IV
30. 下列反應方程式的主要產物為何? (A) I (B) II (C) III (D) IV
31. 請由高至低排列出下列化合物的沸點高低順序 (A) I > II > III > IV (B) II > III > IV > I (C) III > IV > I > II (D) IV > II > III > I
32. 下列反應最主要的產物為何? (A) I (B) II (C) III (D) IV
33. 下列反應最主要的產物為何? (A) 1-chloro-4-nitrobenzene (B) 1-chloro-3-nitrobenzene (C) 1-chloro-2-nitrobenzene (D) a mixture of 1-chloro-4-nitrobenzene and 1-chloro-2-nitrobenzene
34. 下列反應最主要的產物為何? (A) I (B) II (C) III (D) IV
35. 請由強至弱依序排列出下列化合物的酸性大小 (A) I > II > III > IV (B) II > III > IV > I (C) III > IV > I > II (D) IV > III > II > I
36. 請由強至弱依序排列出下列化合物的鹼性大小 (A) I > II > III > IV (B) II > III > IV > I (C) III > IV > I > II (D) IV > III > II > I
37. Guanidine 的 = 0.4,當血液中的 pH 值等於 7.4 時,則 guanidine 和它的共軛酸之比例關係為 (A) (B) (C) 1:1 (D) 2.5:1
38. 下列反應產物為何? (A) I (B) II (C) III (D) IV
40. 以下二個化合物的 IR 圖譜在下列範圍會有明顯區別? (A) 3000-3050 (B) 1360-1380 (C) 3100-3500 (D) 2400-3500
41. 下列那一個化合物的 IR 圖譜在 1710 有強吸收峰而且在 3300 有寬的吸收峰? (A) I (B) II (C) III (D) IV
47. Benzoic acid 的 NMR 圖譜會有幾組吸收峰? (A) 4 (B) 5 (C) 6 (D) 7
48. 下列反應方程式主要產物為何? (A) I (B) II (C) III (D) IV
49. 下列反應方程式主要產物為何? (A) I (B) II (C) III (D) IV
50. 下列反應方程式主要產物為何? (A) I (B) II (C) III (D) IV
51. 下列化合物中何者為弱電解質? (A) HCl (B) CH3COOH (acetic acid) (C) (D) NaCl
56. 如下圖,當外壓為 720 mm-Hg 時,則密閉端氣體壓力為 (A) 12 mmHg (B) 708 mmHg (C) 720 mmHg (D) 732 mmHg
57. 下列哪個反應屬於 endothermic process? (A) I (B) II (C) III (D) IV
59. 根據以下數據:乙烯的莫耳燃燒熱 = -1411 kJ/mol;標準生成焓。試計算乙烯的標準生成焓為 (A) 52.4 kJ/mol (B) 87 kJ/mol (C) 731 kJ/mol (D) 1.41 x 103 kJ/mol
68. 下列分子或離子何者形狀為彎曲型? (A) I、II (B) II、III (C) I、III、V (D) I、IV、V
74. 化學反應方程式 中可以判知 (A) 本反應為一級反應 (B) 速率定律式為 rate = k[H2S]2 [O2] (C) 速率定律式為 rate = k[H2S] [O2] (D) 無法決定
75. 根據 的實驗數據 可以判斷其反應速率定律式為 (A) rate = k[NO] (B) rate = (C) rate = k[NO][Cl2] (D) rate = k[NO]2[Cl2]
77. 在容量為 4 公升的平衡系統中含有 1.0 mol H2S、4.0 mol H2 和 0.80 mol S2,試求出 ⇌ 在此溫度的 Kc 值? (A) 1.6 (B) 3.2 (C) 12.8 (D) 0.64
78. 在 kJ/mol 的反應平衡中下列改變何者會減少 Br2 的濃度? (A) 提高溫度 (B) 減少 NO (C)加入 NOBr (D) 體積不變之下減少,加入 He
80. 在 反應方程式中, CH3COOH 的共軛鹼是 (A)(B) (C) (D)