所屬科目:中山◆電機◆控制系統
(b)(5%)當τ=0且G為穩定時,請問G之增益邊界(gainmargin)可否為無窮大?
(c)(5%)當T≠0,b≤0,且G為穩定時,請問G之增益邊界(gainmargin)可否為無窮大?
(d)(5%)當τ≠0且G為穩定時,請問G之相位邊界(phasemargin)可否為無窮大?
(f)(5%)假設a0=a1=0且T≠0如果控制器C為比例控制器(這裡我們僅考慮正增益值)的話,請問b需滿足何種條件閉迴路系統才有可能穩定?
(g)(5%)假設a0=a1=b=0且τ=0請問下列哪些控制器有可能讓閉路系统穩定? (1)I控制器(2)D控制器(3)PI控制器(4)PD控制器(5)PID控制器
(h)(5%)假設b=τ=0、控制器C為一階且恰適(proper),並且已知開迴路系統為穩定。請問這些條件下,閉迴路系统是否有可能完美追蹤(即:達成零稳態誤差)下列訊號? (1)步階訊號(2)科坡訊號(3)拋物線訊號
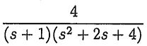
(a)(5%)令G的轉移函數為 ,C為一為比例控制器(這裡我們僅考慮正增益位)。當輸入為單位步階訊號時,請間系統輸出之穩態誤差之極小值(infimum)為何?