所屬科目:研究所、轉學考(插大)-微積分
(a)
(b)
2. If z = f(x,y), where x= g(t), y=h(t), g(3)=2, g’(3)=5, h(3)=7, h’(3)=-4, =(2,7)=6 and(2,7)=-8, find when t=3.
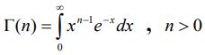
5. The Gamma Function Γ(n) is defined by