阿摩線上測驗
登入
首頁
>
研究所、轉學考(插大)-微積分
>
107年 - 107 東吳大學_暑假轉學生招生考試_巨量資料管理學院學士學位學程二年級:微積分#105693
> 申論題
題組內容
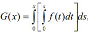
4. Let
, where f is continuous for all real t . Find
(b) G ' (0)
相關申論題
(a)
#449571
(b)
#449583
2. If z = f(x,y), where x= g(t), y=h(t), g(3)=2, g’(3)=5, h(3)=7, h’(3)=-4, =(2,7)=6 and(2,7)=-8, find when t=3.
#449572
(a)
#449573
(b)
#449574
(a) G(0)
#449575
5. The Gamma Function Γ(n) is defined by Find Γ(1) , Γ(2) and Γ(3) .
#449577
6. Find the local maximum and minimum values and saddle point(s) of the function. f ( x , y ) = x y (1 - x - y )
#449578
7. Find the absolute maximum and minimum values of f on the set D. f ( x, y) = x 2 + y 2 + x 2 y + 4, D = {( x, y) | x ≤ 1, y ≤ 1}
#449579
8. Use Lagrange multipliers to find the maximum and minimum values of the function subject to the given constraint(s). f ( x, y, z ) = yz +xy ; xy = 1, y2 + z2 = 1
#449580
相關試卷
114年 - 114 臺灣綜合大學系統_學士班轉學生考試試題:微積分A#137897
114年 · #137897
114年 - 114 臺灣綜合大學系統_學士班轉學生考試試題:微積分B#137819
114年 · #137819
114年 - 114 台灣聯合大學系統_學士班轉學生考試試題:微積分#137762
114年 · #137762
114年 - 114 台灣聯合大學系統_學士班轉學生考試試題:微積分#137761
114年 · #137761
114年 - 114 國立臺灣大學_轉學生招生考試_物理學系/土木工程學系/生物環境系統工程學系/生物機電工程學系:微積分(B)#137745
114年 · #137745
114年 - 114 國立臺灣大學_轉學生招生考試_數學系:微積分(A)#137744
114年 · #137744
113年 - 113 國立嘉義大學_轉學生招生考試試題_(全校):微積分#122986
113年 · #122986
112年 - 112 國立臺灣大學_碩士班招生考試題:微積分(D)#130254
112年 · #130254
112年 - 112 國立陽明交通大學_碩士班入學招生試題_統計學研究所﹕微積分與線性代數#130252
112年 · #130252
112年 - 112 國立嘉義大學_轉學生招生考試試題:微積分#123297
112年 · #123297