所屬科目:研究所、轉學考(插大)-微積分
1. For , find (a) the equation of the secant line through points whose x coordinates are 0 and 2, (b) the equation of the tangent line when x = -2.
2. Find the derivative of .
4. Let the demand and supply functions for q units of a certain item be p = D(q) = and p = S(q) = , q > 1, where p is in dollars. Its cost function is C(q) = . Find (a) equilibrium quantity; (b) break-even quantity.
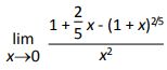
7. Find