阿摩線上測驗 登入

申論題資訊

試卷:107年 - 107 東吳大學_暑假轉學生招生考試_資訊管理學系二年級:微積分#105835
科目:研究所、轉學考(插大)-微積分
年份:107年
排序:3

題組內容

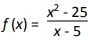
3. For 61e6113bbf16f.jpg , find all a-values where f(x) is discontinuous. (a) For each such value a, give  f (a) =________ and (b) 61e612165baa2.jpg=________

申論題內容

(b)